Раздел 3. Электронные состояния в реальном кристалле
3.1 Уравнение Шредингера реального кристалла. Метод эффективной массы. Локализованные состояния. Водородоподобные примеси и экситоны.
3.2 Глубокие примесные центры. Изоэлектронные примеси. Электрически неактивные примеси. Амфотерные примеси.
3.3 Примесные состояния в низкоразмерных структурах.. Поверхностные электронные состояния.
Электронные состояния в кристаллах с нарушением периодичности кристаллического поля
Нарушение периодичности кристаллического поля U (r ) может быть вызвано различными дефектами кристаллической структуры (примеси, собственные точечные дефекты, дислокации, границы зерен).
Предположим, что W(r) – поле, которое связано с нарушением кристаллического поля.
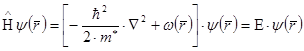
Метод эффективной массы
Позволяет решить уравнение Шредингера при наличии нарушения кристаллического поля – 


- главный потенциал, не обладает периодичностью кристаллического поля
.
Вид функции
– неизвестен. Но
можно исключить из уравнения Шредингера, используя эффективную массу электронов - m*, определенной из эксперимента.
Предположим, что
=0 и запишем уравнение Шредингера для электронных состояний вблизи экстремума энергии

– вблизи экстремума электрон ведет себя как свободный, но с эффективной массой.
m* ¹ m0
Гамильтониану
можно ввести эквивалентный гамильтониан:
, который имеет тот же набор собственных значений, что и
, но вместо m0 использовано m*.
Вместо одноэлектронного уравнения Шредингера можно ввести ему эквивалентные: 
- Уравнение эффективной массы, в котором нет кристаллического потенциала
.Решение задач на основе этого уравнения получило название метода эффективной массы.
Метод справедлив для электронных состояний, где можно применять m*, то есть вблизи экстремумов энергии.
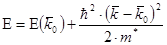
Изменение в спектре энергии электронов при наличии возмущения его движения -
:
- в запрещенной зоне кристалла возникают разрешенные уровни (состояния) энергии, локализованные в отчасти нарушения кристаллического поля. Поэтому эти состояния называются локализованными, а уровни – локальными.
Волновая функция локализованных состояний отлична от нуля в области нарушения поля кристалла.
![]() |
Локальные уровни в запрещенной зоне Et возникают в результате отщепления уровней от потолка зоны – уровни акцепторов (возмущение
> 0), а от дна зоны – уровни доноров (
< 0).
(рис.5)







