Зоны Бриллюэна
вводятся в пространстве обратной решетки для определения минимального объема
, которое содержит все значения компонент в.в.
; отвечающих физически неэквивалентным состояниям электрона в зоне (из-за периодичности в.ф).
Линейная одномерная решетка:

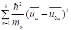
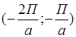
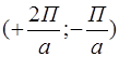
1-зоной Бриллюэна называют интервал значений: 
2-зона симметрично расположена вокруг
в интервале
и
-интервал 
Первая
-называется приведенной
, т.к. любой
можно состояние
привести в
и наоборот учитывая периодичность энергии в
-пространстве.
Т.е рассматривание состояний электрона в решетке можно ограничить
, а другие исключить, т.к они содержат другие эквивалентные состояния (физические)
”0„ -центр зоны
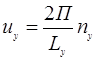
Двухмерная (плоская) решетка
Размеры
между трансляциями 
Комп. в.в.
;
;
; 
; 
-число атомов

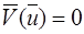
Средний вектор для состояния: 

Все компоненты
отвечающие неэквивалентным физическим постоянным, заключены в пределах первой зоны Бриллюэна с
и
- тоже прямоугольная плоская решетка в К - пространстве.
Трехмерный кристалл
Простой куб ---- обратная решетка ---- зона Бриллюэна
↓ ↓
Куб куб с объемом

Гранецентрированная ОЦК→усеченный октаэдр
(куб)
Зона Бриллюэна
Минимальный по объему многогранник построенный симметрично относительно центра
− точки
=0 и включающей все возможные неэквивалентные физические состояния для электрона в кристалле.
Основные точки в зоне Бриллюэна п/п Г, X, L
Минимумы энергии электронов в зоне проводимости п/п с алмазной решеткой и решеткой сфалерита лежат в центре
− точки
=0 − ”Г„ в направлениях [111] − ”X„ точка и [100] − ”L„ точка.
2.4 Эффективная масса электрона в кристалле, её связь со структурой энергетических зон. Понятие дырки. Динамика электрона в периодическом поле изитропных и анизотропных кристаллов.
Эффективная масса носителей заряда в телах
В кристалле на электрон действуют огромные силы со стороны кристаллического поля U(
),которые превосходят по величине внешние силы со стороны электрических и магнитных полей.
Поэтому для описания динамики электрона под действием внешних полей с использованием законов механики для свободного электрона ввели понятие эффективной массы − m*
В эффективную массу m*”упрятали„ все внутренние силы
Электроны в кристалле ускоряются только под действием внешних сил
и m* связывает силу
и ускорение
.
Введем m*:
E
− закон дисперсии − непрерывная функция в пределах
имеющая экстремуму в различных точках
.пусть в точке
− находится экстремум функции E
.
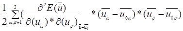
Разложим в ряд Тейлора функцию E
вблизи малой окрестности 
E
=E(
)+

в точке
,
где:
− вторая производная по векторному аргументу =тензору второго ранга.
Запишем E
в форме аналогичной для свободного электрона: E(
)=
, где
− массасвободного электронаE
=E(
)+
,
где
− тензор обратной эффективной массы − размерность.
Обратной массы, т.к. размерность квазиимпульса совпадает с размерностью импульса.
(
) − материальная константа веществапоэтому главные оси тензора обратной массы совпадают с главными осями (основными) симметрией кристалла.
Запишем тензор (
) в главных осях, при этом
=
= [
], где
− главные значения тензора обратной эффективной массы.
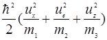
Запишем закон дисперсии в главных значениях тензора обратной эффективной массы:
E(
)=E(
)+
,где:
− кинетическая энергия электрона проводимости, имеющая разные массы по направлениям
.
Величина 1:
=
− компоненты эффективной массы по направлениям
.
Понятие m* − неформальное,т.е m* позволяет описывать динамику электрона в периодическом поле под действием внешних сил, но только для энергий в узком интервале, вблизи экстремумов в зоне.
О знаке m*
В близи минимума энергии в зоне (дно зоны) тензор обратной эффективной массы имеет положительный знак (
), то эффективная масса электрона − положительна (
), в близи максимума энергии в зоне (потолок зоны) −(
) − отрицательный знак, поэтому эффективная масса электрона отрицательна (
).
Т.о у потолка зоны электрон будет как частица с отрицательной массой, что означает, что он ускоряется против направления действия внешней силы.
Электрон с
заменяют квазичастицей с положительным зарядом
=
и положительной массой равной массе электрона.
Такая частица ускоряется нормально − по направлению силы − называют дыркой

Анизотропный и изотропный квадратичные законы дисперсии
Введение m* позволяет записать в квадратичной форме законы дисперсии E(
) для кристаллов различной симметрии, но вблизи экстремальных значений энергии, где справедливо понятие m*.


Анизотропный закон дисперсии E(
) − эффективная масса − тензор.
Положим
, E(
)
,то E(
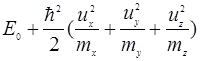
)=
Изотропный закон дисперсии − характерен для прямозонных п/п, для электронов вблизи точки (
) − эффективная масса (скалярная величина).

E(
)=
(1:
),
− изотропная величина
Анизотропный закон E(
) − характерен для электронов в зоне проводимости непрямозонных п/п.
E(
)=
Оси x, y, z − главные оси симметрии кристалла и тензора обратной эффективной массы.
Поверхности равной энергии
E(
)=const или E(
)=const
Используется для описания зонной структуры кристаллов наряду с законом дисперсии.
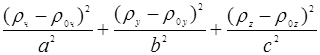
E(
)=const − поверхность второго порядка(трехосный эллипсоид)
пусть экстремум E лежит в точке 
E(
)=E(
)+(
)
Запишем уравнение E(
)=const в канонической форме:

=1
a, b, c − полуоси эллипсоида
a=
; b=
; c=
Если
− имеем эллипсоид вращения.
Если
− то поверхность E(
)=const − сфера (тензор вырождается в скалярную величину).

Физические свойства кристалла в этом случае изотропные, а в предыдущем случае анизотропные.
Динамика электронов в периодич. поле кристалла
Для описания динамики электрона используют классическую функцию Гамильтона, заменив импульс на квазиимпульс:

= E(
)+V(
)
E(
) − кинетическая энергия
V(
) − потенциальная энергия
Скорость электрона V(
) в разрешенном
− состоянии энергетической зоны
Используем уравнение Гамильтона для скорости:

т.е.
(
) − есть градиент энергии V(
) − V(
)=
значение
(
) совпадает с групповой скоростью
волнового пакета, отчего движение квантовой частицы с энергией
и импульсом 
=
− равна квантовомеханической средней скорости
Особенности движения
V(
) определяется градиентом E(
), поэтому вектор скорости
(
) направлен по нормали к изоэнергетической поверхности E(
) = const
Если
− тензор, то
(
) и
не совпадают по направлению.

Вектор
(
) и
совпадают по направлению, если
- скаляр, т.е. для свободного электрона.

Особенности движения электрона у краев зон
У краев энергетических зон энергия электрона принимает экстремальные значения (E min и E max).
Поэтому
, т.е. электрону соответствует не бегущая волна (волна Блоха), а стоячая, при значениях
происходит отражение электронных волн от границ зоны Бриллюэна.
При приближении электрона к границе
электронная волна тормозится решеткой и отражается. Стоячая электронная волна не участвует в переносе энергии.
Скорость
является нечетной функцией волнового вектора
=
, поэтому средняя скорость
по всей зоне будет равна нулю.
=
(интегрируем в симм. пределах)
Т.о. при движении электронов, при отсутствии внешнего электрического поля не будет переноса зарядов, т.е. не будет возникать электрический ток.
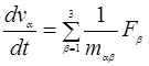
Ускорение электрона в кристалле
можно определить, как изменятся скорость во времени:

Предположим, эффективная масса это
, найдем
-компоненту ускорения;

Энергия от t зависит через зависимость
от t, поэтому: 
Вывод: при тензорной эффективной массе электрон под действием
в направлении
получает ускорение в направлении
. Направления ускорения и силы будут совпадать, если
направлена вдоль главных осей тензора обратной эффективной массы.
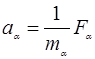
Если эффективная масса- скаляр, то ускорение будет получать электрон всегда по направлению силы: 
это соотношение для тензора
справедливо для значений массы, равной 
Особенности динамики электрона в кристалле связаны с одновременным действием внешней силы и кристаллического поля на электрон, обладающего волновыми свойствами.
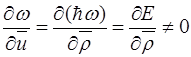
Физический смысл понятия эффективной массы
Нарисуем графики: E(
);
; 

При
и
наблюдается отклонение E(
) от квадратичной зависимости, вследствие того, что с ростом энергии увеличивается волновой вектор электрона, длина электрона 
(*) уменьшается и становится сравнимой с межплоскостным расстоянием, что приводит к Брэгговскому отражению электронных волн от атомных плоскостей – с ростом
возрастает доля отраженной волны, а затем торможение при 
(**) скорость v:
в пределах от
до
электрон движется как свободный.
при
- скорость достигает максимального значения, а затем в следствии торможения решеткой, падает до нуля.
Этому соответствует смена знака
с плюса на минус.
Затем электрон отражается от точки
к точки
и снова движется в прежнем направлении, т.е. электрон совершает периодические движения во внешнем электрическом поле.
Вывод: эффективная масса
в отличие от обычной массы не постоянна, она не является мерой инерции и не связана с силами тяготения.






