Примесные состояния в твердых телах
- пример локализованных состояний
· Однозарядные примесные центры (водородоподобные примеси) – примеси, которые находятся в нейтральном или однократно ионизованном состоянии (примеси замещения):
Доноры: D0 (D+ e-) – нейтральный донор.
Ионизация донора: D0 = D+ + e- (в зоне проводимости) D+ - в узле решетки.
Такие доноры образуют неглубокий (мелкий) уровень энергии Ed вблизи дна зоны проводимости Ес. В связи с этим эти доноры называются мелкими донорами.
Для нахождения энергетического спектра мелких доноров используется метод эффективной массы и водородоподобную модель примесного центра.
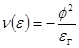
Донор D0 (D+ e-) можно считать аналогом атома водорода: D+ - ядро
e- - электрон атома H, размещенном диэлектрической среде с проницаемостью e.Роль
играет кулоновский потенциал:

Уравнение Шредингера для атома водорода:

Для донора аналогично уравнение Шредингера для атома водорода, если в нем заменить m0 на mn, а заряд на 
Решение уравнения Шредингера для атома H:
Связанные состояния электрона,

H – подобный набор уровней энергии,
n = 1 – основные состояния атома H, которые соответствуют орбиты электронов (определяют размеры атома):

(n = 1, an = 1 = aB - размер атома H в невозбужденном состоянии – Боровский радиус).
Поэтому связанного состояния электрона мелкого донора будут равны:
(отсчет от уровня Ec)

n = 1 – основное состояние
донора – En = 1 = Ed
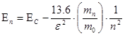
Положение уровней донора в «эВ» определяется по формуле:

13.6 эВ - энергия ионизации атома водорода.
Энергия ионизации донора: 
Где mn для прямозонного полупроводника – скалярная эффективная масса электрона
и для непрямозонного полупроводника – эффективная масса
mnd для плотности состояний: 
Мелкие акцепторы: образуют уровни выше потолка валентной зоны в запрещенной зоне
, где mp – это масса донора.
Энергия ионизации акцепторов:
EA - основное состояние акцептора (n = 1) – A0 (A- k+)
Примесные зоны. Проводимость по примесным зонам
При увеличении концентрации примесей Nt расстояние между атомами примеси уменьшаются
и происходит перекрытие волновой функции электронов соседних атомов.
Перекрытие волновой функции приводит к уширению дискретных уровней Et примесей и возникновению целых зон энергии – примесных зон.

Возможно перекрытие примесной зоны с главной зоной (для донора с зоной проводимости), что уменьшает ширину запрещенной зоны, DEg.

проводимость полупроводника n – типа с примесной зоной: 
(концентрация доноров).
Но лучше наблюдать проводимость по примесной зоне в компенсированном полупроводнике n – типа:
,
то есть в этом случае
при T=0 k.
m1, m 2 – подвижности электронов в зоне проводимости и примесной зоне
(m2 <m1).
При высокой температуре: 
– электроны в концентрации nj= Nd – NA находятся в зоне проводимости – некомпенсированные доноры - ионизированы.
При низкой температуре: электроны «вымерзают» по зоне проводимости на уровни примесной зоны и их концентрации. ni= Nd – NA, а
, то есть признаком существования примесной зоны является отличие от нуля s при T = 0 k.