Диск, в котором напряжения не меняются по радиусу и равны заданным значениям (при постоянной температуре).
Условия:

Из условия совместности деформации
σr = σθ
Из условия равновесия

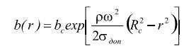
Решение этого уравнения
b=b0 exp(-m r2)
где m=ρω2/2σr,
b0 – толщина диска в центре.
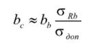
При известных Rb, bn и m
b0=bnexp(mR2b)
Тогда напряжения во всех сечениях будет равен σRb.
При наличии центрального отверстия выдержать строго условия постоянства напряжений невозможно, но подбором ступицы определенных размеров можно сохранить напряжений в полотне диска.
При наличии развитого обода схематическое изображение диска равного сопротивления будет следующим (рисунок 8.7)

Рисунок 8.7


Спрофилированный в соответствии с изложенной методикой диск на самом деле не будет равнопрочным в силу принятых допущений: не учтена возможность неравномерного нагрева, изгиба диска, концентрации напряжений. Не учтена возможность изменения режима работы двигателя, сложный циклический характер нагружения диска. Таким образом, рассмотренная методика профилирования равнопрочных дисков дает лишь весьма приближенный к оптимальному профиль, даже если ограничиться самым простым критерием оптимизации - по массе.






