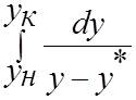
Интеграл -
имеет определенный физический смысл. Числитель дроби в подинтегральном выражении характеризует изменение рабочей концентрации на элементе поверхности, а
- движущую силу на этом элементе. Дробь в целом показывает, на сколько единиц изменится рабочая концентрация на данном элементе поверхности при величине движущей силы = 1. Поэтому, число получаемое при подсчете интеграла называется числом единиц переноса и обозначается
(или
).

В некоторых случаях, когда поверхность межфазного обмена в аппарате практически неопределима, можно вести расчет по числу единиц переноса. Поверхность межфазного обмена можно представить в виде:
, где H – высота рабочей зоны аппарата, (м);
- площадь поперечного сечения аппарата, (м2);
f – удельная поверхность фазового концентрата, развиваемая в 1 м3 рабочего объема аппарата (м2/м3). Тогда уравнение можно записать:
. Откуда
.
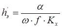
Комплекс
- представляет собой высоту аппарата, эквивалентную единице переноса.
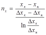
В окончательном виде расчетное уравнение
. Аналогично по фазе
L:
, где
- высота, эквивалентная единице переноса:
. Сопоставляя уравнения можно получить:
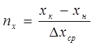
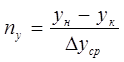
,
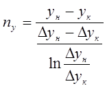
. Для случая, когда линия равновесия прямая
и
.