Пусть имеется массообменный аппарат с таким рабочим объемом, у которого концентрация распределяемого вещества на выходе из него
равна равновесной концентрации на входе в аппарат
. Это изменение концентраций называется степенью изменения концентрации.
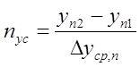
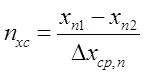
Число единиц переноса, соответствующее одной ступени изменения концентрации можно определить:
,
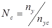
. Если линия равновесия – прямая, то при заданных концентрациях распределяемого вещества число ступеней изменения концентраций может быть найдено
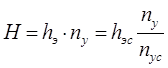
. Высота рабочей зоны аппарата определяется по уравнению
, где hэс – высота, эквивалентная одной ступени изменения концентрации. Из уравнений видно, что
, откуда
или
.
Кроме аналитического метода определения числа ступеней изменения концентрации существует способ графического определения, который используется особенно часто, когда равновесная линия не является прямой.
Заключается в следующем: На диаграмму у – х наносится рабочая линия и линия равновесия (прямая или кривая). Проводя из точки а, соответствующей хк, горизонтальную и вертикальные отрезки, получают ступени, число которых и будет числом ступеней изменения концентрации Nc.
|
|
|


Определение Nc для криволинейной равновесной линии.
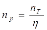
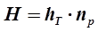
В тех случаях, когда массообменные аппараты имеют тарелки (например, барботажные при абсорбции и ректификации), то часто их расчет ведут по числу теоретических тарелок. Под теоретической тарелкой понимают такой контакт массообменивающихся фаз, который приводит систему к состоянию равновесия. Число теоретических тарелок nT можно найти графическим путем, как это показано на рис. Рабочее число тарелок np находят путем деления nT на коэффициент полезного действия тарелки, поскольку на действительной тарелке состояние равновесия между фазами не достигается:
, где
- коэффициент полезного действия.
Высоту рабочей зоны аппарата вычисляют по уравнению:
, где hT – расстояние между тарелками.






