В массообменных процессах перенос вещества может осуществляться как за счет молекулярной диффузии, так и за счет конвективной диффузии.
При молекулярной диффузии перенос массы вещества осуществляется молекулами. Молекулярная диффузия происходит в неподвижной среде, описывается I законом Фика, согласно которому: количество продиффундировавшего вещества dM пропорционально градиенту концентрации
в направлении диффузии, площади dF, перпендикулярной направлению диффузионного потока и времени
, т.е.
. «-» означает, что диффузионный поток направлен в сторону уменьшения концентрации.
D – коэффициент молекулярной диффузии – является физической величиной, определяющей способность вещества проникать в какую-либо другую определенную среду. D можно определить по справочнику или вычислить по формулам. D не зависит от гидродинамических условий.
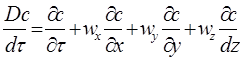
В движущейся среде перенос вещества происходит за счет молекулярной и конвективной диффузии, т.е. концентрация диффундирующего вещества в выделенном в потоке элементе изменяется как за счет молекулярной диффузии, так и за счет конвективного перемещения самого элемента в пространстве.
|
|
|
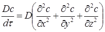
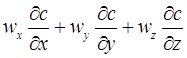
Влияние конвективной составляющей на процесс массопередачи можно учесть, вводя в рассмотрение полную производную концентраций:

- полная производная – субстанциональная производная, т.к. она связана с движущейся субстанцией, поскольку полное изменение любой величины (например С) элемента движущейся жидкости является следствием двух явлений – изменения во времени и изменения вследствие перемещения элемента из одной точки производства в другую. Здесь
- представляет локальное, а
- конвективное изменение величины концентрации С.
z
![]() | |||
![]() | |||
dz







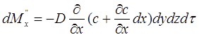
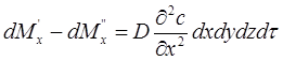
dM'x dM''x
dy
dx
х

у
Выделим в потоке жидкости элементарный параллелепипед dxdydz и составим для него материальный баланс подводимого и отводимого вещества.
При переносе вещества вдоль оси х за счет молекулярной диффузии в элемент через левую грань войдет количество вещества
, а через правую выйдет
.
В элементе за время
остается количество вещества, диффундирующего вдоль х:
.
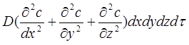
Для всех граней:
.
Это количество вещества будет выноситься из параллелепипеда потоком жидкости, изменение концентрации в котором определяется уравнением. Этот поток пройдет через параллелепипед dxdydz за время
и изменит концентрацию на величину
.
Сравнивая уравнения, получим:
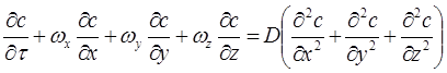
, или
. Это уравнение является дифференциальным уравнением конвективной диффузии.
Для неподвижной среды, когда
:
- 2й закон Фика – дифференциальное уравнение молекулярной диффузии.








