Предельные циклические углеводороды
КАРБОЦИКЛИЧЕСКИЕ
По систематической номенклатуре ИЮПАК предельные циклические углеводороды называются циклоалканами.

Простейшими из них являются

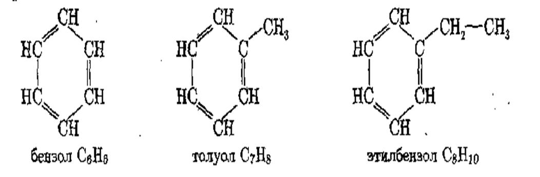
По систематической номенклатуре ИЮПАК данные углеводороды называют аренами.
Для простоты написания бензольное ядро изображают упрощенно в виде шестиугольника, в котором символы С и Н, относящиеся к кольцу, не пишут:
|
Известны ароматические углеводороды с кратными связями в боковых цепях, например стирол, а также многоядерные
|






