Галогенпроизводные
КЛЫССЫ ОРГАНИЧЕСКИХ СОЕДИНЕНИЙ
Из галогенпроизводных предельных углеводородов отметим полифторхлоруглеводороды (фреоны) применяется в холодильных устройствах, так как при их испарении поглощается большое количество теплоты. Некоторые галогенпроизводные углеводородов входят в состав ядохимикатов — химических средств для борьбы с вредными насекомыми (инсектициды) и грибками, поражающими растения (фунгициды).
Спирты—углеводороды в молекулах которых один или несколько атомов водорода заменены гидроксильными группами. Метанол СНз-ОН, этиловый спирт (этанол) СНз-СН2-ОН. Производные аромати
ческих углеводородов с группой ОН в бензольном ядре называются фенолами С6Н5ОН.
Общим свойством спиртов и фенолов является замещение водорода гидроксильной группы на металл.

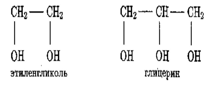
Кроме спиртов с одной гидроксильной группой в молекуле (одноатомные спирты, или алкоголь), известны спирты, молекулы которых содержат несколько гидроксильных групп (многоатомные спирты).
|
Этиленгликоль и глицерин — высококипящие жидкости сладкого вкуса, смешивающиеся с водой во всех отношениях. Этиленгликоль применяется в качестве составной части так называемых антифризов, т. е. веществ с низкой температурой замерзания.
Водный раствор этиленгликоля (58%-ный по массе) замерзает только при температуре —50 °С.






