Каждое состояние с определенным l вырождено (2l + 1) раз, так как ему соответствуют различные значения магнитного квантового числа m = 0, ±1, ±2, ±l. Таким образом, кратность вырождения состояния с данным квантовым числом п равна
(13-9)
(это сумма членов арифметической прогрессии).
Известно, что орбитальный момент импульса электрона L, и пропорциональный ему магнитный момент pm ориентированы перпендикулярно плоскости орбиты электрона и направлены в противоположные стороны. Векторы pm и L связаны гиромагнитным отношением:

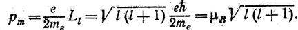
Тогда связь модулей векторов pm и L имеет вид:

Величина
Ам2 называется магнетоном Бора.
Это магнитный момент электрона в невозбужденном атоме водорода.
Таким образом, магнитный момент электрона может содержать [ l(l + l)]1/2 магнетонов Бора.






