В качестве показателя ВВП – yt Учитывается действие мультипликатора и акселератора
yt+1 = A +Cyt + a*(yt – yt-1),

индуцированные
инвестиции
А – автономные расходы
а – акселератор – прирост инвестиций и изменения ВВП.
Можно использовать в кр/ср периоде.
1.3. Неоклассические модели
Основными характеристиками неоклассических моделей экономического роста являются:
• предположение о функционировании экономики в условиях совершенной конкуренции, обеспечивающей гибкую систему цен и равенство цен факторов производства их предельной производительности;
• отсутствие функции совокупного спроса, поскольку гибкая система цен постоянно приравнивает объем совокупного спроса к объему совокупного предложения;
• отсутствие функции инвестиций, так как при равновесии на рынке благ
• представление технологии в виде производственной функции с взаимозаменяемыми факторами производства и постоянным эффектом масштаба.
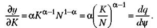
Использование производственных функций в моделях экономического роста. Производственные функции - математическое выражение зависимости между объёмом используемых ресурсов и max размером выпуска продукции из этих ресурсов. В макроэкономике рассматривается капитал (К), труд (L), человеческий капитал (H).
Свойства П.ф.
1.Если объём одного из факторов = 0, то и значение функции =0
2.Значение функции ↑, если ↑ объём любого ресурса при постоянстве других ресурсов.
Y = f(K,L)
;
.
Если ресурс ↑ до ∞, то и функция ↑ до ∞.
3. При ↑ любого ресурса, значение функции ↑, но замедленно.
;
Наиболее употребительные функции Кобба-Дугласа, для них выполняются все свойства
(Y = AKαLβ); 0<α<1; 0<β<1
- растущий эффект от увеличения масштаба производства,
=1 – постоянный, <1 – убывающий
Предельная производительность факторов:
; 
Эластичность выпуска по факторам производства:
Если труд ↑на 1%, то выпуск ↑ на α%
Темп прироста: 
Предельная норма технологической замены:
- сколько ед. труда можно заменить ед. капитала.
Изоклиналь: траектория наибольшего роста п.ф. 
Для функции К-Д:
,
С = const, зависящая от K и L 

Берутся индексы роста величин или относительные показатели:

вместо К и L темпы роста, следовательно 
Обобщающий показатель эффективности: 
a – оце-ет рост эффективности.

Показатели масштаба:
M=
- хар-ет, как ↑ ресурсы (среднегеометрическое) – агрегированный показатель масштаба производства.

Если функция однородная степени n, то F(λK, λL) = λnF(K,L)
Функции К-Д однородны и σк = 1
- пред. норма замены зависит от капиталовооружённости труда. 
CES функция – функция с постоянной эластичностью замены (замена труда капиталом) 
(dk/k)-относительный прирост капиталовооружённости;
(dSk/Sk) – пред. норма замены (ск-ко ед. др. рес-са зам-тся ед. данного ресурса)
Функции К-Д σк = 1
Если σk = const, то общий вид функции CES: 
A>0, 0<γ≤1, ρ>-1
Если ф-я свод-ся к такому виду, то
, можно найти пост. норму замены.
Основоположниками неоклассических моделей роста являются Р. Солоу и Т. Сван.
(Solow R A contribution to the theory of Economic Growth // The Quarterly Journal of Economics 1956 Vol 70. Swan T Economic Growth and Capital Accumulation // Economic Record 1956 Vol 32)
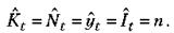
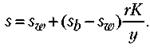
Модель Солоу—Свана. В закрытой экономике без государства предложение труда и капитала в каждом периоде определяется так же, как в посткейнсианских моделях

Труд увеличивается с экзогенно заданным темпом прироста, а прирост капитала соответствует объему инвестиций; в свою очередь инвестиции равны сбережениям, объем которых определяется кейнсианской функцией сбережений.
Технология производства представлена производственной функцией Кобба—Дугласа: 
Поскольку технология позволяет производить блага при различных сочетаниях труда и капитала, то существует возможность в каждом периоде полностью использовать оба фактора производства даже в случае их роста с неодинаковой скоростью: избыточное предложение труда можно устранить посредством снижения его капиталовооруженности, а избыток капитала — посредством повышения капиталовооруженности труда. Будет ли изменяться последняя таким образом, зависит от соотношения цен факторов производства.
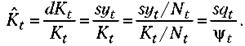
Проанализируем, как должна изменяться капиталовооруженность труда в рассматриваемой модели, чтобы труд и капитал использовались полностью.
Из дефиниционного уравнения
следует, что 
В условиях модели темп прироста труда экзогенно задан: Nt = n, а темп прироста капитала определяется нормой сбережений

Поэтому в заданных условиях темп прироста капиталовооруженности труда определяется по формуле

При некоторых значениях
капиталовооруженность труда стабилизируется
Следовательно, равенство
(14.3)
соответствует растущей экономике, в которой полностью используются постоянно увеличивающиеся объемы труда и капитала. Раскроем экономический смысл формулы (14.3).
Так как q есть доход на одного работника, то произведение sq представляет объем его сбережений (предложения капитала). Произведение
показывает, сколько в среднем каждый работающий должен предложить капитала за период, чтобы оснастить всех вновь вовлекаемых в производство рабочих на уровне
Поэтому при
объем сбережений равен такому объему инвестиций, который необходим для того, чтобы при растущем с темпом п предложении труда его капиталовооруженность постоянно была равна
Вновь вовлекаемые в производство рабочие должны иметь одинаковую с остальными капиталовооруженность труда потому, что у всех одна и та же ставка зарплаты, равная предельной производительности труда; последняя будет одинаковой только при одной и той же капиталовооруженности труда.
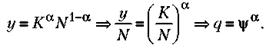
Используемую в модели производственную функцию можно представить в виде

Поэтому равенство (14.3) выполняется при

Устойчиво ли состояние экономики, когда
? При гибкой системе цен ответ на этот вопрос является утвердительным.
Допустим, что в исходной системе цен оптимальная (максимизирующая прибыль) капиталовооруженность труда равна
тогда
, что свидетельствует об избытке предложения капитала, и его цена снизится. В новой системе цен оптимальной для предпринимателей окажется более высокая, чем
, капиталовооруженность труда. Рост
будет продолжаться до
. Соответственно при
из-за избытка предложения труда будет снижаться его цена и капиталовооруженность.
Таким образом, техническая взаимозаменяемость факторов производства и гибкая система цен приводят экономику к устойчивому экономическому росту при полном использовании труда и капитала даже в том случае, когда исходное состояние не является равновесным.
Для представления движения экономики к равновесному росту на рис. 14.2 построен график

Рис. 14.2. Производительность труда и капитала при технологии Кобба-Дугласа
Угол наклона прямой, соединяющей любую точку этого графика с началом координат, представляет среднюю производительность капитала, так как

Предельная производительность капитала данной капиталовооруженности труда равна тангенсу наклона касательной в этой же точке; это следует из того, что

Так как в соответствии с неоклассической концепцией
то отрезок ab как произведение
на
равен прибыли на одного работающего, а отрезок Оа — оплате единицы труда w; поэтому отношение этих отрезков представляет пропорцию распределения национального дохода между трудом и капиталом. Касательная к графику
пересекает ось абсцисс в точке
так как отношение катетов прямоугольного треугольника в квадранте II равно г, а Оа = 0.

Рис. 14.3. Равновесие в модели Солоу
Графически условие (14.3) представлено на рис. 14.3. Кривая
проходит под кривой
так как s < 1. Наклон луча, идущего из начала координат, задан темпом прироста населения. Точка пересечения обеих линий определяет равновесные значения
Луч
показывает, сколько инвестиций должно приходиться на одного работающего, чтобы при растущей с темпом п занятости капиталовооруженность труда постоянно равнялась соответствующей на оси абсцисс величине. Кривая sq представляет фактические сбережения (а следовательно, и инвестиции) на одного работника при соответствующей капиталовооруженности. Слева от
фактические сбережения превышают необходимые для постоянной капиталовооруженности труда инвестиции, поэтому
растет, справа от
- наоборот.
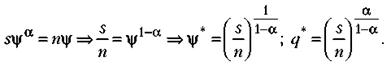
Учитывая, что
, условие равновесного роста (14.3) можно представить в виде:
. Внешне оно совпадает с условием экономического роста при полном использовании обоих факторов производства в модели Харрода—Домара. Однако за формальным сходством условия полного использования труда и капитала в обеих моделях экономического роста следует видеть существенное отличие между ними. В модели Харрода—Домара постоянство производительности капитала обусловлено технологией производства и состояние экономической конъюнктуры не влияет на значение
В модели Солоу—Свана производительность капитала постоянна только при равновесном росте и не по техническим, а по экономическим причинам; при неравновесном росте значение
меняется, стремясь к
_. Из рис. 14.2 и 14.3 следует, что
" при
*, и наоборот.
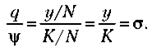
Определим характеристики экономического роста в модели Солоу— Свана. Поскольку
, то
При заданной технологии с неизменным эффектом масштаба и фиксированной норме сбережений это равенство расширяется

Следовательно, в модели Солоу—Свана экономика выходит на устойчивый рост национального дохода с постоянным темпом, равным темпу роста трудовых ресурсов; с такой же скоростью увеличиваются инвестиции и капитал. Поэтому при равновесном росте не изменяется ни производительность труда, ни производительность капитала.
Проследим теперь за последствиями изменения экзогенных параметров п и s. Увеличение темпа прироста трудовых ресурсов отображено на рис. 14.4 поворотом лучг
против часовой стрелки. При заданной норме сбережений не хватает инвестиций для равновесной капиталовооруженности труда. Увеличение предложения труда снижает его цену и предприниматели переходят к менее капиталоемким способам изготовления продукции. Когда капиталовооруженность труда снизится до
тогда установится новое динамическое равновесие при полном использовании труда и капитала с возросшим темпом роста национального дохода при более низкой производительности труда.
Последствия повышения нормы сбережений представлены на рис. 14.5. Рост нормы сбережений сдвигает кривую
вверх. В результате новое динамическое равновесие устанавливается при более высоких значениях капиталовооруженности и производительности труда, но с исходным темпом роста национального дохода, равным темпу роста населения.
| |
| Рис. 14.4. Последствия увеличения темпа роста населения | Рис. 14.5. Последствия роста нормы сбережения |
В момент повышения нормы сбережений темп роста национального дохода резко увеличивается, так как возрастает не только масштаб
производства, но и производительность труда из-за увеличения его капиталовооруженности. В дальнейшем вместе с замедлением роста производительности труда по мере приближения к новому равновесию темп роста национального дохода снижается до темпа роста населения. Динамика показателей результативности производства в переходный период показана на рис. 14.6.

Рис. 14.6. Изменение результативности производства при повышении нормы сбережений
Поскольку в модели Солоу-Свана устойчивый рост при полном использовании обоих факторов производства достигается при любой норме сбережений и темп прироста национального дохода всегда равен темпу прироста населения, то возникает проблема определения оптимальной нормы сбережения.
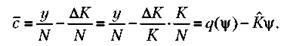
«Золотое правило» накопления. Примем в качестве критерия оптимальности максимум потребления на одного занятого в каждом периоде:
и определим ее зависимость от капиталовооруженности труда. С учетом равенств

среднюю норму потребления можно представить в виде

Она достигает максимума при 
Таким образом, объем потребления на одного работающего достигает максимума, когда темп прироста капитала равен его предельной производительности.
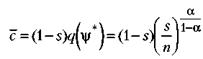
Для определения нормы сбережений, максимизирующей среднюю норму потребления в динамическом равновесии, продифференцируем
по s. Так как
,то 
Следовательно, средняя норма потребления максимальна при
(14.4)
Равенство (14.4) представляет «золотое правило» накопления: если норма сбережений равна эластичности выпуска по капиталу, то в растущей с постоянным темпом экономике средняя норма потребления достигает максимума при полном использовании труда и капитала.
Так как в условиях совершенной конкуренции доля прибыли в национальном доходе равна эластичности выпуска по капиталу, то из равенства (14.4) следует, что в соответствии с «золотым правилом» вся прибыль должна инвестироваться в реальный капитал.
Графический способ определения нормы сбережений, соответствующей «золотому правилу», показан на рис. 14.7.

Рис. 14.7. Норма сбережений, соответствующая «золотому правилу» накопления
При заданной технологии и фиксированном темпе роста трудовых ресурсов каждой норме сбережений соответствует своя устойчивая капиталовооруженность труда. Чтобы определить, какая s обеспечивает максимум
, нужно к графику производственной функции провести касательную, тангенс угла наклона которой равен п, так как в соответствии с «золотым правилом»
, а при равновесном росте
Точка пересечения перпендикуляра, опущенного из точки касания на ось абсцисс, с лучом
определит оптимальную норму сбережений. Через эту точку должна проходить кривая
.
Эндогенная норма сбережений. Возможность устойчивого экономического роста с полным использованием факторов производства при различных нормах сбережений указывает на то, что в модели Солоу— Свана норма сбережений может быть эндогенным параметром. Рассмотрим два варианта эндогенной нормы сбережений.
В соответствии с неоклассической концепцией
норма сбережений повышается по мере роста реальной доходности (предельной производительности) капитала. В этом случае условие равновесного роста принимает вид:
. Так как с повышением (понижением) капиталовооруженности труда предельная производительность капитала снижается (повышается), то при
равновесие достигается не только за счет изменения
, но и в результате сдвига кривой sq: при
график sq смещается вниз, а при
— вверх. Поэтому при s = s(r) в динамическом равновесии производительность и капиталовооруженность труда ниже, чем при s = const.
В соответствии с концепцией Н. Калдора (см. 14.1) норма сбережений тоже зависит от производительности капитала: 
Поэтому условием равновесного роста является
(14.5)
В том, что и с нормой сбережений Н. Калдора в модели Солоу— Свана существует устойчивое равновесие, можно убедиться на основе следующих рассуждений: при малых значениях
средняя и предельная производительности капитала большие, поэтому левая часть равенства (14.5) больше п; при больших значениях V|/ средняя и предельная производительности капитала низкие, поэтому левая часть равенства (14.5) меньше п. Следовательно, при увеличении V|/ найдется точка равновесия, устойчивость которого обеспечивается гибкостью цен.
«Омут бедности». В соответствии с производственной функцией, используемой в модели Солоу—Свана, рост капиталовооруженности труда сопровождается снижением производительности капитала: кривая
выпукла к оси ординат. Такое соотношение затраты—выпуск при заданном уровне развития техники характерно для индустриальных и постиндустриальных экономик в условиях полного использования трудовых ресурсов. Для стран, переходящих от аграрной к индустриальной стадии развития, рост капиталовооруженности труда может сочетаться с повышением производительности капитала. В этом случае график
принимает вид кривой, изображенной на рис. 14.8, и равенство (14.3) выполняется при трех различных значениях капиталовооруженности труда, как показано на рис. 14.9, а.

Рис. 14.8. Производственная функция при переходе от аграрной






