Потребность в получении новых знаний возникает в результате выявления противоречий между существующим уровнем знаний о проблеме в какой-либо предметной области знаний и требованиями жизни по отношению к этой предметной области знаний.
Предметная область знаний - это совокупность термов (терминов), характеризующая какую-либо область знаний и связывающих их отношений, закономерностей решения задач.
Схема поиска противоречий:

Рис. 12. Схема поиска противоречий и получения новых знаний

Рис. 13. Процедура разрешения противоречия в развитии знаний
Для разрешения возникающего между требованиями практики и существующим уровнем знаний противоречия нужно четко выявить суть возникшей проблемы, поставить задачу, провести ее структуризацию (выявить элементы проблемы и их соотношения), затем нужна параметризация (т.е. выявление переменных, полностью описывающих задачу), после чего возможно построение плана исследования. В этом исследовании должно быть запланировано проведение экспериментов или сбор данных, их обработка и определение метода решения проблемы.
Для установления переменных, описывающих проблему, и их отношений возможно применение когнитивных методов и технологий. Такая технология включает два этапа:
· когнитивную структуризацию;
· когнитивное моделирование.
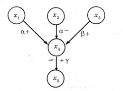
На первом этапе выделяются основные концепты (переменные, элементы, подсистемы), описывающие проблему, и составляется когнитивная карта (рис. 14). Дуги, характеризующие влияние элементов
, имеют оценки силы и знаков влияния (+, —, 0).

Рис. 14. Пример простой когнитивной карты
Далее на основе статистики возможно описание этих влияний формальными конструкциями, например уравнениями регрессии.
В результате получается когнитивная модель проблемы, которую можно использовать для ее решения.
Системный подход является более прагматической методологией решения проблем. Суть его заключается в представлении объектов реального мира R в форме систем, т.е. множества взаимодействующих элементов и их отношений (рис. 15).

Рис. 15. Суть системного подхода
Система является абстрактной конструкцией
S = <Х, Y, W, Т, V, G>,
где X, Y - входы и выходы системы,
W — внутренние состояния,
Т, V, G – преобразования.
Практика показывает, что все объекты реального мира представимы в форме систем.
Системный анализ является продолжением системного подхода. Построенная система S для решения возникшей проблемы Р преобразуется в определенную, нужную для решения Р модель Ms (рис. 16).

Рис. 16. Схема системного анализа (с помощью этой модели решается проблема Р)






