Включение. Пусть A и B - нечеткие множества на универсальном множестве X. Говорят, что A содержится в B, или B включает A, т.е. A
B, если
. Иногда используют термин «доминирование», т.е. B доминирует A при A
B (рис. 2.6).

Рис. 2.6.Операция включение (доминирование) нечетких множеств
Равенство. Пусть A и B -нечеткие множества на универсальном множестве X. Говорят, что A и B равны, т.е. A=B, если
. В противном случае A≠B (рис. 2.7).

Рис. 2.7.Операция равенства нечетких множеств
Дополнение. Пусть A и B – нечеткие множества с множеством принадлежностей характеристических функций
, заданные на универсальном множестве X. Говорят, что A и B дополняют друг друга, т.е.
или
, если
(рис. 2.8). Очевидно следствие
=A так называемое свойство инволюции.

Рис. 2.8.Операция дополнение нечетких множеств
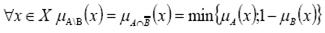
Пересечение нечетких множеств (рис. 2.9) A и B, заданных на универсальном множестве X, - это наибольшее нечеткое множество A
B, содержащееся одновременно и в A, и в B с функцией принадлежности:


Рис. 2.9.Операция пересечение нечетких множеств
Объединение нечетких множеств (рис. 2.10) A и B, заданных на универсальном множестве X, - это наименьшее нечеткое множество A
B, включающее как A, так и B с функцией принадлежности, заданной следующим образом:
тут максимум

Рис. 2.10.Операция объединение нечетких множеств
Разность нечетких множеств A и B (рис. 2.11), заданных на универсальном множестве X, - это нечеткое множество A\B=A
с функцией принадлежности, заданной как:


Рис. 2.11.Операция разность нечетких множеств
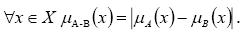
Симметрическая разность нечетких множеств A и B, заданных на универсальном множестве X, - это нечеткое множество A-B с функцией принадлежности, заданной следующим образом:

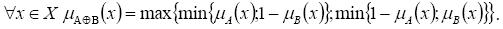
Дизъюнктивная сумма нечетких множеств A и B (рис. 2.12), заданных на универсальном множестве X, - это нечеткое множество
с функцией принадлежности, заданной следующим образом:


Рис. 2.12.Операция дизъюнктивная сумма нечетких множеств