Пусть Е=
– множество действительных чисел, тогда нечеткие множества: “большой отрицательный”, “приблизительно нулевой”, “большой положительный” могут быть определены функциями принадлежности (рис. 2.2).
Замечание. В виду сложившихся традиций в рассматриваемой теории вместо термина “нечеткое подмножество” используют термин “нечеткое множество”.

Рис. 2.2. Функции принадлежности нечетких множеств: “большой отрицательный” (N), “приблизительно нулевой” (ZE), “большой положительный” (P).
Для определения вида функций принадлежности разработаны различные экспертные методы. В ряде случаев используют типовые формы функций принадлежности, тогда методом экспертных оценок определяется тип функций принадлежности и их параметры.
Приведем некоторые типовые виды функций принадлежности.
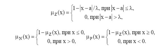
Кусочно-линейные функции принадлежности описываются уравнениями:

На рис. 2.3. приведен вид графиков функций принадлежности типов Z(a), N(б), P(в) соответственно, при a=0 λ=1.

Рис. 2.3.график функций принадлежности типов N(а), Z(б), P(в) при a=0 λ=1.
|
|
|
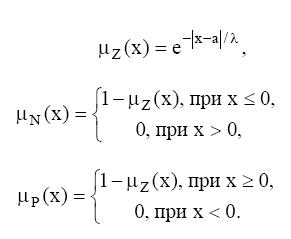
Показательные (Пуассона) функции принадлежности описываются
уравнениями:

На рис. 2.4 приведен вид графиков функций принадлежности типов Z(a), N(б), P(в) соответственно, при a=0 и λ=1.

Рис. 2.4.график функций принадлежности типов N(а), Z(б), P(в) при a=0 и λ=1
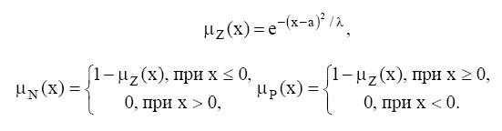
Гауссовы функции принадлежности описываются уравнениями:

На рис.2.5 приведен вид графиков функций принадлежности типов Z(a), N(б), P(в) соответственно, при a=0 и λ=1.
Рис. 2.5.график функций принадлежности типов N(а), Z(б), P(в) при a=0 и λ=1






