Механизм нечеткого логического вывода в своей основе имеет базу знаний, формируемую специалистами предметной области в виде совокупности нечетких продукционных правил следующего вида:
ЕСЛИ < Антецедент (предпосылка)> ТО < Консеквент (следствие) >,
Антецедент и Консеквент - некоторые выражения нечеткой логики, которые наиболее часто представляются в форме нечетких высказываний. В качестве антецедента и консеквента могут использоваться не только простые, но и составные логические нечеткие высказывания, т.е. элементарные нечеткие высказывания, соединенные нечеткими логическими связками, такими как нечеткое отрицание, нечеткая конъюнкция, нечеткая дизъюнкция:
ЕСЛИ «
ЕСТЬ
» ТО «
ЕСТЬ 2
»,
ЕСЛИ «
ЕСТЬ
» И «
ЕСТЬ
» ТО «
ЕСТЬ НЕ
»,
ЕСЛИ «
ЕСТЬ
» ИЛИ «
ЕСТЬ
» ТО «
ЕСТЬ НЕ
»,
Нечеткий логический вывод – это процесс получения нечетких заключений на основе нечетких условий или предпосылок.
Применительно к нечеткой системе управления объектом, нечеткий логический вывод – это процесс получения нечетких заключений о требуемом управлении объектом на основе нечетких условий или предпосылок, представляющих собой информацию о текущем состоянии объекта.
|
|
|
Логический вывод осуществляется поэтапно.
1) Фаззификация (введение нечеткости) – это установка соответствия между численным значением входной переменной системы нечеткого вывода и значение функции принадлежности соответствующего ей терма лингвистической переменной. На этапе фаззификации значениям всех входным переменным системы нечеткого вывода, полученным внешним по отношению к системе нечеткого вывода способом, например, при помощи статистических данных, ставятся в соответствие конкретные значения функций принадлежности соответствующих лингвистических термов, которые используются в условиях (антецедентах) ядер нечетких продукционных правил, составляющих базу нечетких продукционных правил системы нечеткого вывода. Фаззификация считается выполненной, если найдены степени истинности
(a) всех элементарных логических высказываний вида «
ЕСТЬ
», входящих в антецеденты нечетких продукционных правил, где
- некоторый терм с известной функцией принадлежности µ(x),
- четкое численное значение, принадлежащее универсуму лингвистической переменной
.
2) Агрегирование – это процедура определения степени истинности условий по каждому из правил системы нечеткого вывода. При этом используются полученные на этапе фаззификации значения функций принадлежности термов лингвистических переменных, составляющих вышеупомянутые условия (антецеденты) ядер нечетких продукционных правил.
|
|
|
Если условие нечеткого продукционного правила является простым нечетким высказыванием, то степень его истинности соответствует значению функции принадлежности соответствующего терма лингвистической переменной.
Если условие представляет составное высказывание, то степень истинности сложного высказывания определяется на основе известных значений истинности составляющих его элементарных высказываний при помощи введенных ранее нечетких логических операций в одном из оговоренных заранее базисов.
3) Активизация в системах нечеткого вывода – это процедура формирования функций принадлежности m(y) консеквентов каждого их продукционных правил, которые находятся при помощи одного из методов нечеткой композиции:

где µ(x) функция принадлежности термов лингвистических переменных консеквента продукционного правила, c - степень истинности нечетких высказываний, образующих антецедент нечеткого продукционного правила.
4) Аккумуляция (или аккумулирование) в системах нечеткого вывода – это процесс нахождения функции принадлежности выходной лингвистической переменной. Результат аккумуляции выходной лингвистической переменной определяется как объединение нечетких множеств всех подзаключений нечеткой базы правил относительно соответствующей лингвистической переменной.
Объединение функций принадлежности всех подзаключений проводится как правило классически
(max-объединение).
5) Дефаззификация в системах нечеткого вывода – это процесс перехода от функции принадлежности выходной лингвистической переменной к её четкому (числовому) значению. Цель дефаззификации состоит в том, чтобы, используя результаты аккумуляции всех выходных лингвистических переменных, получить количественные значения для выходной переменной, которое используется внешними по отношению к системе нечеткого вывода объектам менеджмента.
Переход от полученной в результате аккумуляции функции принадлежности µ(y) выходной лингвистической переменной к численному значению y выходной переменной производится одним из следующих методов:
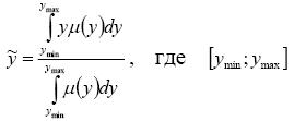
· метод центра тяжести заключается в расчете центроида площади:
,
где [
]- носитель нечеткого множества выходной лингвистической переменной;
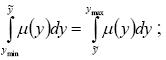
· метод центра площади заключается в расчете абсциссы y, делящей площадь, ограниченную кривой функции принадлежности µ(x), так называемой биссектрисы площади

· метод левого модального значения
=
;
· метод правого модального значения
=
.
Рассмотренные этапы нечеткого вывода могут быть реализованы неоднозначным образом: агрегирование может проводиться не только в базисе нечеткой логики Заде, активизация может проводиться различными методами нечеткой композиции, на этапе аккумуляции объединение можно провести отличным от max-объединения способом, дефаззификация также может проводиться различными методами. Таким образом, выбор конкретных способов реализации отдельных этапов нечеткого вывода определяет тот или иной алгоритм нечеткого вывода. В настоящее время остается открытым вопрос критериев и методов выбора алгоритма нечеткого вывода в зависимости от конкретной задачи. На текущий момент в системах нечеткого вывода наиболее часто применяются алгоритмы Мамдани, Цукамото, Ларсена, Сугено.