Если действуют несколько сосредоточенных сил, то для одной силы Pi, согласно ответу на вопрос М.7.9, имеем

При нескольких сосредоточенных силах получим

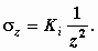
Коэффициенты Ki определяются каждый раз отдельно для своих значений ri / z, так как радиус
для каждой силы свой.
М.7.12*. Как строится решение задачи для силы, приложенной на границе полуплоскости? Как соблюсти условие размерностей в этом случае?
В случае плоской задачи решение строится таким же образом, как и в пространственной задаче (см.вопрос М.7.9). В качестве аргументов используются: сосредоточенная сила P (в случае плоской задачи она имеет разномерность Н/м в отличие от пространственной, где размерность силы в H), угол между радиусом и вертикалью q и радиус r. Для того, чтобы левая и правая части имели одинаковые размерности, числитель следует разделить не на квадрат радиуса, как в пространственной задаче, а на радиус в первой степени. Следовательно, получим

М.7.13*. Как определяется безразмерный коэффициент A 1 в формуле для s r (см.М.7.12) и в чем отличие в его определении по сравнению с пространственной задачей?
|
|
|
Безразмерный коэффициент A 1 определяется из условия равновесия путем проектирования напряжений s r, умноженных на величину элементарной площадки, на вертикальную ось. В данном случае берется не полусфера, как в пространственной задаче, а полукольцо. Коэффициент после интегрирования оказывается равным A 1=2/p, поэтому







