В случае пространственной задачи (рис.М.8.1,б), в отличие от плоской, смещение осей координат производится вдоль оси x на величину x, а вдоль оси y на величину h. Поэтому вместо
следует считать
, а силу P заменить распределенной нагрузкой p, причем
. Получим

М.8.3. Какие безразмерные координаты можно ввести в случае плоской задачи при загрузке части поверхности полуплоскости равномерно распределенной нагрузкой? Какой угол называется "углом видимости" и почему?
В указанном случае удобно ввести две безразмерные координаты - два угла a и b. Угол a называется углом видимости, поскольку если мы поместим в рассматриваемую точку полуплоскости глаз наблюдателя, то под этим углом мы как бы видим нагрузку. Второй угол b между вертикалью, проходящей через данную точку, и биссектрисой угла видимости a.
М.8.4. Какие напряжения называются главными нормальными и какие главными касательными? Сколько главных напряжений в плоской и сколько в пространственной задачах?
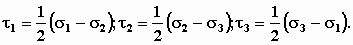
Главные нормальные напряжения - это нормальные напряжения, действующие на площадки, на которых отсутствуют касательные напряжения. Главные касательные напряжения - это максимальные касательные напряжения. Если обозначить главные нормальные напряжения через s 1, s 2 и s 3, то главные касательные напряжения равны соответственно:
|
|
|

Главных нормальных напряжений в пространственной задаче - три, в плоской - два. Главных касательных напряжений в случае пространственной задачи - три, в случае плоской задачи - одно.






