М.7.8. Какой вид имеют эпюры напряжений szв задаче о сосредоточенной силе?
М.7.7. Как получить напряжение sz, зная напряжение s R?
Если известно s R, то из условия равновесия элемента мы имеем в данном случае s z =s R cos2q.
Эпюры напряжений s z изображены на рис.М.7.8.
![]()
|
| Рис.М.7.8. Эпюры напряжений s z в полуплоскости и полупространстве по вертикальным и горизонтальному сечениям |
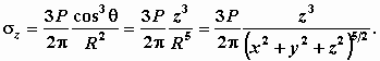
Напряжение s z в координатах x,y,z имеет следующий вид:

Следует ввести обозначение
, где r - проекция радиуса R на граничную плоскость z = 0, а затем ввести относительную координату r/z. Тогда получим

М.7.10*. Каким образом следует изменить решение о сосредоточенной силе, нормальной к границе полупространства, чтобы получить решение задачи о силе, действующей вдоль границы полупространства?
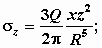
Для вертикальной силы P имеем

для горизонтальной силы Q имеем

Таким образом, в функции одно из z заменяется на x. Для наклонной силы следует учесть обе эти составляющие P и Q.







