Потоки платежей весьма часто встречаются на практике: заработная плата, плата за квартиру, ежемесячный взнос на счет в банк некоторой суммы, откладываемой для покупки квартиры, и т.д.
Как правило, разного рода финансовые операции предусматривают не отдельные разовые платежи, а множество распределенных во времени выплат и поступлений. Совокупность ряда распределенных во времени платежей принято называть потоком платежей или денежным потоком. Любая финансовая операция предполагает наличие двух потоков платежей: входящего — поступления (доходы) и исходящего — выплаты (расходы, вложения). Эти потоки, а также поток процентных платежей, создаваемый начислением процентов, формируют соответствующий денежный фонд.
Поток называется конечным или бесконечным в зависимости от количества платежей в нем.
Пусть Рп = {Рк, tк} — поток платежей, где tK — момент времени, а Рк — платежи. Предполагается, что известна ставка процента i, обычно неизменная в течение всего потока.
Величиной потока в момент Т называется сумма платежей потока, дисконтированная к этому моменту
|
|
|

Величина Pп(0) называется современной величиной потока. Если есть последний платеж, то величина потока в момент этого платежа называется конечной величиной потока.
Пример 4.11, Имеем поток платежей Рп= ((-1000; 1), (1000; 2), (1800; 3), (2500; 4)}. Найдем характеристики этого потока при 8% ставке.


Теперь найдем конечную величину потока

Поток платежей, все члены которого положительные величины, а промежутки между платежами одинаковы, называют финансовой рентой или просто рентой.
Временной интервал между двумя последовательными выплатами называется периодом ренты. Срок от начала первого периода до конца последнего называется сроком ренты. Различают два основных типа рент: безусловные и условные ренты. Безусловные ренты — это ренты с фиксированным периодом, т.е. даты первой и последней выплат определены до начала ренты. Условные ренты — ренты, в которых дата первой или последней выплаты зависит от некоторого события, например пенсия.
По количеству выплат членов ренты на протяжение года ренты делятся на годовые (выплаты раз в году) и m — срочные (m — количество выплат в году). При анализе производственных инвестиционных процессов иногда применяются ренты с периодами, превышающими год. Перечисленные виды рент называются дискретными.
В финансовой деятельности встречаются и такие потоки платежей, которые производятся столь часто, что их практически можно рассматривать как непрерывные.
Текущим значением ренты называется денежная сумма эквивалентная множеству всех выплат в начальный момент ренты. Наращенным значением (суммой) ренты называется сумма, эквивалентная множеству всех выплат в конце всего срока ренты. Для обычной ренты текущее значение определяется за один период до первой выплаты, а наращенное значение — в момент последней выплаты. Очевидно, что и текущее, и наращенное значения зависят от процентной ставки, используемой в уравнении эквивалентности.
|
|
|
По количеству начислений процентов на протяжении года различают ренты с ежегодным начислением, с начислением п раз в году, с непрерывным начислением. Моменты начисления процентов могут совпадать или не совпадать с моментами выплат членов ренты. Однако, расчеты значительно упрощаются, если два указанных момента совпадают. Ренты по этому признаку классифицируются на простые и общие соответственно.
Пример 4.12. Найти текущее и наращенное значение ренты с выплатами 1000 у.е. в конце каждого месяца в течение двух лет. Проценты начисляются ежемесячно по номинальной ставке 6% годовых.
Приведем временную диаграмму выплат (рис. 4.10).
12 3: Эффективная ставка за месяц 
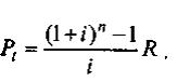
Если Рt наращенное значение простой обычной ренты, состоящей из n выплат, каждая в размере R с процентной ставкой i за период начисления, то уравнение эквивалентности для даты последней выплаты имеет вид:

Применяя к правой части уравнения формулу суммы членов геометрической прогрессии с первым членом R и знаменателем (1 + i), получим:
(4.3.3)
Множитель
(4.3.4)
называется коэффициентом наращения простой обычной ренты.
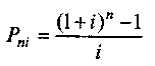
Текущее значение ренты Р определяется из условия эквивалентности для текущего и наращенного значения обычной ренты:
(4.3.5)
Коэффициент перед R в формуле (4.3.5) называется дисконтирующим множителем обычной простой ренты.
Переходим к нашему примеру. По формуле (4.3.5) вычисляем текущее значение ренты:

Наращенное значение найдем по формуле (4.3.3):

По соотношению начала срока ренты и какого-либо момента времени, упреждающего начало ренты, ренты делятся на немедленные и отложенные, или отсроченные. Для отложенной ренты срок ренты начинается в некоторый момент в будущем и ее принято считать обычной.
Важным является различие рент по моменту выплат платежей в пределах периода. Если платежи осуществляются в конце периодов, то соответствующие ренты называют обыкновенными, или постнумерандо, если же платежи производятся в начале периодов, то их называют пренумерандо. Иногда контракты предусматривают платежи или поступления денег в середине периодов.
Для вычисления параметров произвольного потока платежей
и, в частности, ренты достаточно уметь составлять уравнение эквивалентности для заданного момента времени. Однако для произвольного ряда выплат эта задача может оказаться трудоемкой. Поэтому для вычисления параметров общей ренты целесообразно преобразовать ее в эквивалентную простую ренту.

Для простоты восприятия изобразим временную диаграмму (рис. 4.11).

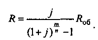
Для эквивалентности данных рент необходимо выполнение следующих условий:
Процентные ставки за периоды этих рент должны быть эквивалентны.
Эквивалентные этим рентам значения, соответствующие одному и тому же моменту времени, должны совпадать.
Из определения эквивалентности процентных ставок и первого условия имеем:
(4.3.6)
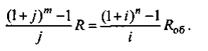
Приравнивая наращенные за год значения обеих рент, получим:
(4.3.7)
С учетом (4.3.6) формула (4.3.7) запишется так:

Подставляя сюда выражение для i, найденное из (4.3.6), получим формулу для выплат простой ренты:

Пример 4.13. Заменить общую ренту сроком два года с выплатами 1000 у.е. в конце каждого полугодия и начислением процентов по кварталам по ставке 8% годовых простой рентой с поквартальными выплатами.
Временная диаграмма выплат приведена на рис. 4.12.

Рис. 4.12
|
|
|
Известно, что Ro6 = 1000 у.е., n= 2, m = 4, j = 0,02. По формуле (4)3.8) имеем:
