В условиях рыночной экономики, особенно в период ее становления, инвестирование развития сопряжено с риском неполучения ожидаемых результатов в установленные (желаемые) сроки.
В связи с этим возникает необходимость количественной оценки степени риска инвестируемых средств с тем, чтобы заранее, еще до осуществления капитальных вложений, потенциальные инвесторы могли иметь ясную картину реальных перспектив получения прибыли и возврата вложенных средств.
Для оценки характеристики инвестиционных проектов важнейшее значение имеет ставка дисконтирования будущих доходов к современному моменту.
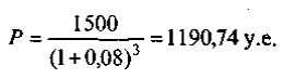
Пример 4.14. Предположим, что через три года нам понадобится 1500 у.е. Спрашивается, сколько средств необходимо вложить сейчас, чтобы добиться этого?
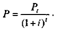
Это значение называется текущей ценностью будущей потребности. Стандартная формула (4.2.2) определяет стоимость будущего вложения, исходя из заданной текущей стоимости Р и коэффициента дисконтирования i

Отсюда
(4.4.1)
Так, если известна фиксированная норма прибыли из расчета 8% годовых, т.е. i = 0,08, то

Итак, сейчас необходимо вложить 1190,74 у.е., чтобы через три года получить 1500 у.е.
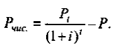
В качестве варианта используется понятие чистой дисконтированной стоимости Рчис, которая получается путем вычитания исходного вложения из будущей стоимости, таким образом:
(4.4.2)
Понятие текущей стоимости связано с вычислениями с применением дисконтирования. В процессе дисконтирования стоимость денег рассматривается в их движении в обратном направлении во времени.
Пример 4.15. Рассмотрим вложение в 1000 у.е., которое станет 1500 у.е. через пять лет при условии годовой ставки дисконта в 8%.
Имеем по формуле (4.4.2):

Таким образом, при условии, что ставка дисконта в 8% достаточно реальна, вложение все же выгодно, хотя, конечно, желательно было бы рассмотреть и другие варианты вложений с целью установления, является ли полученное значение чистой дисконтированной стоимости оптимальным.
Рассмотрим пример выбора наилучшего варианта инвестирования.
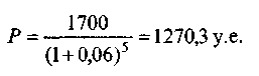
Пример 4.16. Пусть ставка сложного процента 6% в год. Рассмотрим три варианта единовременного вложения определенной суммы. По первому варианту через три года мы будем иметь 1500 у.е., по второму варианту — 1700 у.е. через пять лет и по третьему варианту — 2000 у.е. через семь лет. Эти три варианта нужно сравнить, рассчитав для каждого случая чистую дисконтированную стоимость.
Для первого варианта текущая стоимость определяется как:

Для второго варианта текущая стоимость равна:

Для третьего варианта текущая стоимость составляет:

Следовательно, как это видно из полученных результатов, текущая стоимость при третьем варианте выше. Поэтому, исходя из приведенных вычислений, третий вариант вложения является более выгодным. Следует отметить, что на практике для определения наилучшего варианта инвестирования приходится учитывать и другие факторы.
Во всех приведенных выше расчетах инвестиционных проектов ставка процента предполагалась неизменной. В действительности такое бывает крайне редко. Поэтому вопрос о выборе подходящей ставки процента становится одним из основных при практической оценке инвестиционного проекта. Только тщательный экономический анализ и прогноз позволит правильно принять ставку в конкретной ситуации. Чем ставка выше, тем в меньшей мере влияют на судьбу проекта отдаленные во времени платежи. Более значительным является тот факт, что будущее вносит элементы неопределенности, а значит риска во всем: в величине будущих доходов и в их реальной ценности, ибо инфляция в будущем — вещь в высшей степени неопределенная. Больший риск значительно обесценивает реальные возможности будущих платежей.






