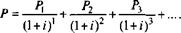
Формулу (4.4.1) можно представить в обобщенном виде с учетом прибыли на вложение в различные периоды. Так, если исходное вложение Р дает доход Р1 в конце первого года, Р2 — в конце второго года и т.д., то общую формулу можно записать в виде:

(4.4.5)
Пример 4.19. Сделано первоначальное вложение в 3000 у.е., которое дает 2000 у.е. в конце первого года, 1400 у.е. в конце второго года и 1000 у.е. в конце третьего года. Внутреннюю норму рентабельности можно вычислить по формуле (4.4.5):

Решение этого уравнения на компьютере дает значение i = 0,26. Следовательно, значение внутренней нормы рентабельности равно 26%, которое и является наилучшей оценкой внутренней нормы рентабельности.
Пример 4.20. Нужно провести сравнительный анализ различных вариантов инвестиций. Каждый из рассматриваемых проектов требует первоначального вложения капитала в сумме одного млн у.е. Оценки объема прибыли в течение четырех лет представлены в табл. 4.5.
Таблица 4.5
| Проект | Прибыль в конце года (тыс. у.е.) | |||
| А | ||||
| В | ||||
| С |
Внутренняя норма рентабельности для проекта А из формулы равна:

Решение этого уравнения дает i = 1,194 или 19,4%. Для проекта В имеем:

Решая это уравнение, получим i = 1,167 или 16,7%.
Составляем уравнение внутренней нормы рентабельности для проект С:

Из этого уравнения получаем, что i = 1,112 или 11.2%.
Так как проект A имеет большую внутреннюю рентабельность, равную 19,4%, то предпочтение следует отдать этому проекту.






