Если будущие платежи являются рискованными, т.е. они жестко не определены, то инвесторы уменьшают сегодняшнюю оценку будущих доходов, применяя увеличенную ставку дисконтирования. При этом следует разбить проекты на низко рисковые, средне рисковые и высоко рисковые и каждому виду приписать некоторый добавок к обычному коэффициенту дисконтирования, тем больший, чем выше риск.
С целью привлечения инвестиций для предлагаемых проектов фирма должна стремиться к уменьшению этого рискованного добавка. Для этого она должна привлекать к себе доверие потенциальных инвесторов своевременной выплатой дивидендов, соблюдением прав акционеров и др.
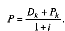
Рассмотрим инвестиции в ценные бумаги, т.е. покупку ее в начале периода по цене Р и продажу в конце по цене Рк. Возможные текущие доходы обозначим через Dk. В соответствии с формулой (4.4.1) за возможную оценку курсовой стоимости бумаги в начале периода принимается величина:

Роль процентной ставки i играет безрисковая процентная ставка i0, играющая роль эффективности безрискового вложения. Вместе с тем для инвестора более точной начальной оценкой будущей стоимости является величина будущего ожидаемого дохода, дисконтированная по ставке доходности, которую он прогнозирует в качестве эффективности вклада.
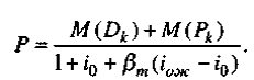
Если средний ожидаемый доход по активу выражается в виде линейной функции от безрисковой ставки дохода i0, ожидаемого дохода iож по всем бумагам, обращающимся на финансовом рынке (взвешенная доходность), и уровня систематического риска, присущего активу и выражаемого через риск всего рынка и коэффициент βm ценных бумаг вида m относительно рынка, то ставка ожидаемой доходности по активу m определяется как [76]:

Дисконтируя по этой ставке, получим оценку текущей стоимости:
........ 
В числителе стоит сумма средних ожидаемых от акции доходов, а в знаменателе — единица плюс ставка доходности на рынке.
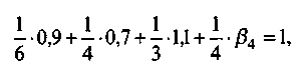
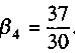
Пример 4.21. Финансовый рынок по стоимости состоит из 20% безрисковых и 80% рисковых бумаг. Рисковых бумаг четыре типа: первые составляют 1/6 часть и для них β1— 0,9, вторые — 1/4 часть и β2 = 0.7 третьи — 1/3 часть и β3 = 1,1. Найти долю и β четвертых бумаг. Найти эффективности всех рисковых бумаг и среднюю доходность по всему рынку, если эффективность рынка (средняя доходность по рисковым бумагам) 8%, а безрисковая ставка равна 4%.
Доля четвертых бумаг равна

β четвертых бумаг находится из условия, что для рыночного портфеля β = 1. Следовательно,

отсюда 
Эффективность каждой ценной бумаги равна:



При положительной коррелированное актива с рынком, чем больше вносимый рынком риск, тем больше ставка доходности, тем меньше современная оценка будущих доходов от акции и, наоборот, при отрицательной коррелированное™ актива с рынком, чем больше рыночной риск, тем больше современная оценка будущих доходов от актива.






