Одной из распространенных форм кредитования являются потребительские кредиты. Это, как правило, краткосрочные суммы, выдаваемые на покупку автомобилей, телевизоров, бытовой техники и других предметов широкого потребления. Для потребительского кредита выплаты осуществляются в виде последовательности периодических платежей.
В потребительском кредите проценты, чаще всего, начисляются на всю сумму кредита и присоединяются к основному долгу уже в момент открытия кредита. Погашение долга с процентами производится частями (обычно равными суммами) на протяжении всего срока кредита. В таком случае наращенная сумма долга равна:

а величина разового погасительного платежа R составит:
(4.5.5)
где n — срок кредита в годах; m— число платежей в году.
Отметим, что проценты начисляются на первоначальную сумму долга, в то время как его фактическая величина систематически уменьшается во времени. В связи с этим действительная стоимость кредита заметно превышает договорную процентную ставку, что следует учитывать при оценке риска.
Пример 4,27. Кредит для покупки товара на 300000 у.е. открыт на три года, процентная ставка — 10%, выплата в конце каждого месяца.
Сумма долга с процентами:

Ежемесячные платежи:

Пример 4.28. Кредит в размере 10000 у.е. получен под 12% годовых. Долг должен быть погашен ежемесячными выплатами в течение года. Найти размер погасительных платежей при равномерной выплате процентов.
Решение. Если проценты за год обозначим через П, то
П= 10000 * 0,12 *1 = 1200 у.е.
S = 10000 + 1200 = 10000 (1 + 1 * 0,12) = 11200 у.е
R = 11200: 12 = 933,3 у.е.
Причем, 833,3 у.е. из каждой выплаты идет на погашение основного долга (10000 у.е.) и 100 у.е. на погашение процентов (1200 у.е.)
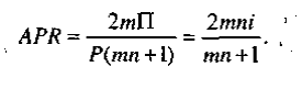
Подчеркнем еще раз следующий важный момент. Если действительно предполагать, что процентная ставка, по которой выплачиваются проценты за пользование кредитом, составляет 12% годовых, то это глубоко ошибочное предположение, так как эта ставка намного больше.
Нетрудно показать, что при равномерной выплате процентов действительная годовая процентная ставка APR (annual percentage rate) определяется по формуле:
(4 5 6)
Данная формула включает проценты на невыплаченный остаток основного долга.
Для нашего примера:

Это значение процента значительно выше предполагаемых 12%.
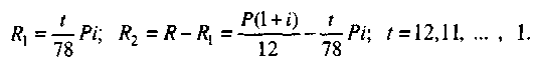
Рассмотрим проблему определения остатка задолженности на любой промежуточный момент времени срока кредита. Для решения этой задачи следует разбить величину R на проценты и сумму, идущую на погашение основного долга.
Если предположить равномерное распределение выплат процентов, то деление расходов на постоянные суммы процентов и погасительные платежи можно представить как:
(4.5.7)
где R1 и R2 проценты и размер погашения основного долга.
За рубежом подобное разбиение проводят основываясь на правиле 78 (Rule of 78), которое получило свое название из-за того, что сумма порядковых номеров месяцев в году равна 78. Пусть срок кредита равен одному году. Тогда, согласно правилу 78, доля процентов в сумме расходов в первом месяце равна
, во втором
и последняя уплата процентов равна
, т.е. доля процентов линейно убывает. При погашении основного долга сумма списания последовательно увеличивается. Тогда для годового срока имеем:

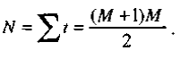
Предположим теперь, что имеем кредит со сроком М месяцев. Последовательные номера месяцев в обратном порядке есть последовательность {r}:

сумма чисел которой равна:

Доли от общей суммы начисленных процентов находятся как
t
—. Следовательно,
N

Отсюда видно, что в каждом месяце выплаты процентов сокращаются на величину
, на такую же сумму увеличиваются суммы списания основного долга.
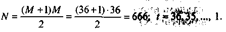
Пример 4.29. Потребительский кредит в сумме 10000 у.е. выдан на 3 года при разовом начислении процентов по ставке 12% годовых. Погашение задолженности помесячное.
Решение. Общая сумма задолженности
Рt = Р(1 + nk) = 10000(1+3 *0,12) = 13600 у.е.
Сумма расходов по обслуживанию долга

Сумма номеров месяцев


Если проценты и суммы погашения определять по формулу (4.5.7), то

Аналогично определяются проценты и суммы погашения долга для каждого месяца. Анализ этих результатов показывает, что при равномерном списании долга остаток долга меньше при списании по правилу 78, т.е. равномерное списание приводит к более быстрому списанию задолженности.
Также следует отметить, что в потребительском кредите при разовом начислении процентов должник фактически выплачивает проценты и за списание суммы долга. А это означает, что, если бы проценты начислялись на остатки долга, то кредит обошелся бы заметно дешевле при одинаковой процентной ставке.