Ранее была получена формула:
,
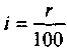
которая позволяет определить величину вклада Рt через промежуток времени t, если начальный вклад составляет Р и процентная ставка r, или
исчисляется непрерывно.
Рассмотрим теперь обратную задачу для нахождения стоимости аннуитета (регулярных платежей) применительно к непрерывным процентам.
В этом случае платежи зависят от времени, т.е. являются функцией от t, что можно записать как Р =P(t) потребуется определить величину вклада Р через Т лет. Для решения разобьем Т лет на n равных промежутков времени Δt, как показано на рис. 4.13.
Если поступления непрерывны, то в течение малого промежутка времени Δt их можно считать постоянными, а их величина от момента времени ti, до ti+1 составит приближенно

За время (Т- ti) наращенная сумма, рассчитанная по формуле непрерывных процентов, за счет начисления процентов на взнос P(ti)Δt станет равной


Теперь, чтобы получить общую величину вклада S через T лет, достаточно сложить все «малые вклады», а именно

Это приближенное равенство станет точным, если промежуток времени Δt будет становиться сколь угодно малым. В этом случае сумма, стоящая в правой части, превращается в определенный интеграл.
|
|
|
Окончательная формула имеет вид:

(4.4.9)
Ранее рассматривалось понятие дисконта, связанное для непрерывных процентов с формулой
(4.4.10)
Эта формула дает возможность определить величину начального вклада Р, если известно, что через t лет он должен составить величину Рt, а непрерывная процентная ставка равна r. Задача аннуитета в этом случае может быть сформулирована так: найти величину начального вклада Р, если регулярные выплаты по этому вкладу должны составлять Рt ежегодно в течение Т лет.
Расчетная формула (ее вывод аналогичен аннуитету с платежами) такова:
(4.4.11)
где r — непрерывная процентная ставка.
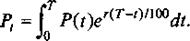
Для примера вычислим начальный вклад Р, если выплаты должны составлять 100 у.е. в течение 4 лет, а процентная ставка равна 7, т.е.

Подставляя численные значения в формулу, получаем:

Это и есть искомый начальный вклад.
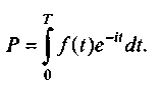
Пусть поступающий ежегодно доход изменяется во времени и описывается функцией Pt(t)= f(t) и при удельной норме процентной ставки, равной i, процент начисляется непрерывно. Как и в предыдущем пункте можно показать, что в этом случае дисконтированный доход Р за время Т вычисляется по формуле
. (4.4.12)
Пример 4.22. Определим дисконтированную сумму Р при f(t) = S0(1 + kt), где S0 — начальные капиталовложения, k — ежегодная доля их увеличения. Иными словами, при заданных величинах i и k требуется оценить, что выгоднее: наращивать капиталовложения или вложить их одновременно при непрерывно начисляемой процентной ставке.
|
|
|

Из полученной формулы можно сделать некоторые выводы:
1.Чем выше процентная ставка i, тем меньше дисконтная сумма Р и, следовательно, выше доход, вычисляемый как разность между суммой ежегодно растущих капиталовложений за Т лет и величиной Р. Если рассматривать Р как дисконтный доход, то увеличение процентной ставки i снижает рентабельность помещения капитала.
2.Увеличение интенсивности ежегодных капиталовложений (k) приводит к увеличению Р.
3.При неизменных i и k дисконтный доход растет с увеличением промежутка времени Т (количества лет).
Например, при процентной ставке r = 5% (i = 0,05) и при ежегодном увеличении капиталовложений на 5% (k = 0,05) получаем, что за 5 лет дисконтная сумма Р = 5S0, в то время как сумма ежегодных капиталовложений за этот период составит Ре = 6,25 S0 при k = 0,1 (10%-ное увеличение ежегодных капиталовложений) и тех же самых i и Т соответственно имеет Р = 5,5 S0 и Ре = 6,5 S0, т.е. в первом случае разность Ре — Pi = 1,25 S0, тогда как во втором случае она снижается до = S0.
При аналогичных оценочных расчетах в реальных условиях следует учитывать существенную роль темпа инфляции, который, в первую очередь, определяет приемлемую величину промежутка времени Т. Очевидно, что при высоком уровне инфляции выгодны только краткосрочные капиталовложения, которые гарантируют минимальные значения риска.
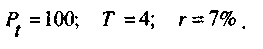
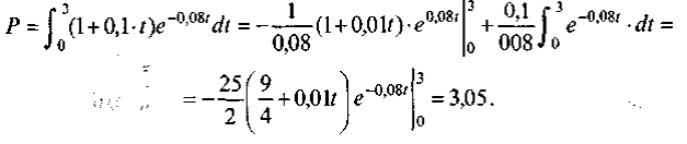
Пример 4.23. Определить дисконтируемый доход за три года при процентной ставке 8%, если первоначальные капиталовложения составили 1 млн у.е., и намечается ежегодно увеличивать капиталовложения на 0,1 млн у.е.
Решение. Ясно, что капиталовложения задаются функцией f(t) = 1 + 0,1 t. По формуле (4..4.12) записываем дисконтированную сумму капиталовложений:

Это означает, что для получения одинаковой наращенной суммы через три года ежегодные капиталовложения от 1 до 1,3 млн у.е. равносильны одновременным первоначальным вложениям 3,05 млн у.е. при той же, начисляемой непрерывно, процентной ставке.
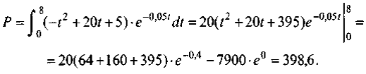
Пример 4.24. Под строительство завода задан непрерывный денежный поток со скоростью f(t) = -t2 + 20t + 5 (млн у.е.) в течение 8 лет с годовой процентной ставкой, равной 5%. Найти дисконтированную стоимость этого потока.

Дважды провели интегрирование по частям.
Таким образом, начальная сумма капиталовложений равнялась бы 398,6 млн у.е.
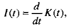
Рассмотрим теперь задачу нахождения капитала (основных фондов) по известным чистым инвестициям. Напомним: чистые инвестиции (капиталовложения) — это общие инвестиции, производимые в экономике в течение определенного промежутка времени (чаще всего — года), за вычетом инвестиций на возмещение выходящих из строя основных фондов (капитала). Таким образом, за единицу времени капитал увеличивается на величину чистых инвестиций.
Если капитал обозначить как функцию времени K(t), а чистые инвестиции — I(t), сказанное выше можно записать в виде:

т.е. это производная от капитала по времени t.
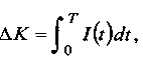
Часто требуется найти приращение капитала за период с момента времени t1 до t2, т.е. величину

Замечая, что K(t) является первообразной для функции I(t), и вспоминая формулу, связывающую первообразную с определенным интегралом, можно сразу написать:

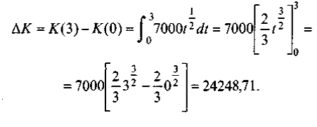
Пусть, например, по заданным чистым инвестициям 
нужно определить приращение капитала за три года. Очевидно, что t1= 0,
t2 = 3.
Непосредственное применение формулы дает:

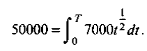
Теперь, оставляя неизменной функцию I(t), задающую инвестиции, попробуем ответить на вопрос: через сколько лет приращение составит 50000, т.е.
ΔК= 50000.
Обозначая искомый промежуток времени через Т, можно написать

или, подставляя численные значения,

Мы получили уравнение, которое интересно тем, что неизвестная величина Т — это верхний предел интегрирования. Для решения вычислим определенный интеграл
|
|
|

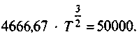
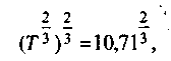
Теперь уравнение можно записать в виде:

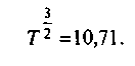
В данном случае это нелинейное уравнение решается достаточно просто. Разделим обе части на постоянный множитель, что дает:

Возводя обе части в степень 2/3

окончательно получаем

Именно столько лет требуется, чтобы приращение капитала составило 50000.