КРЕДИТНЫЕ РИСКИ
Важнейшим отделом банка является кредитный. При выдаче кредита (или ссуды) всегда есть опасение, что клиент не вернет кредит. Конечно, в цивилизованных странах возврата кредита можно потребовать через суд, но во многих ситуациях банки не идут этим путем. А ведь невозврат кредита — это прямые потери банка, которые вполне могут сказаться и на зарплате работников, а то и привести к банкротству банка. Поэтому предотвращение невозврата, уменьшение риска невозврата кредитов — это важнейшая задача кредитного отдела.
Кредитный риск для банков складывается из сумм задолженности заемщиков по банковским ссудам, а также из задолженности клиентов по другим сделкам. Компании тоже могут подвергаться определенному кредитному риску в своих операциях с банком. Если компания имеет много свободных средств, которые она помещает на банковский депозит, то при возникновении риска ликвидации банка компания потеряет большинство своих вкладов. Существует также процентный риск при размещении слишком большого депозита в одном банке, ибо этот банк, осознавая, что компания является регулярным вкладчиком, может не предложить такую же высокую ставку процента по новому вкладу, какую компания могла бы получить в другом банке.
|
|
|
Подверженность кредитному риску существует в течение всего периода кредитования. При предоставлении коммерческого кредита риск возникает с момента продажи и остается до момента получения платежа по сделке. При банковской ссуде период подверженности кредитному риску приходится на все время до наступления срока возвращения ссуды. Величина кредитного риска — сумма, которая может быть потеряна при неуплате или просрочке выплаты задолженности. Максимальный потенциальный убыток — это полная сумма задолженности в случае ее невыплаты клиентом. Просроченные платежи не приводят к прямым убыткам, а возникают косвенные убытки, представляющие собой издержки по процентам (из-за необходимости финансировать дебиторов в течение более длительного времени, чем необходимо), или потерю процентов, которые можно было бы получить, если бы деньги были возвращены раньше и помещены на депозит. Несмотря на то, что кредитный риск велик для кредитов, компаниям, находящимся в сложном положении, банки все же вынуждены их представлять, дабы не терять возможные прибыли.
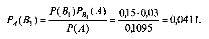
Пример 4.25. Обработка статистических данных показала, что запросы кредитов в банке следующие: 15% — государственные органы, 25% — другие банки и остальные юридические лица. Вероятность невозврата взятого кредита соответственно такова: 0,03; 0,06 и 0,15.
|
|
|
Найдем вероятность невозврата очередного запроса на кредит по формуле полной вероятности. Если В1 — запрос поступил от госорганов, В2 — от банка, B3 — от юридического лица и А — невозврат очередного кредита, то:

После сообщения о невозврате кредита, было установлено, что данные клиента в факсе нечеткие. Какова вероятность, что данный кредит не возвращает какой-то госорган?
По формуле Байеса имеем:

Кредитный риск измеряется с помощью коэффициента зависимости. Гиринг — это коэффициент, суть которого состоит в определении соотношения размера заемного капитала, по которому начисляются проценты, и акционерного капитала. Для определения гиринга нужно определить акционерный и заемный капиталы.
Акционерный капитал — капитал, сформированный за счет простых акций, находящихся в обращении, плюс балансовая стоимость резервов. Заемный капитал — капитал, состоящий из банковских займов, коммерческих ссуд и долговых обязательств.
Считается, что гиринг компании высок, если он превышает 100%. Это происходит в том случае, когда заемный капитал является главным источником финансовых средств, необходимых для бизнеса.
Высокий гиринг говорит о высоком кредитном риске. Однако не существует определенного уровня гиринга, превышение которого означает, что кредитование компании становится непременно рискованным. Изменения гиринга увязывают с изменением экономической ситуации в стране и ситуации на рынке.