Дерево достижимых разметок представляет собой ориентированный граф, множество вершин которого образовано множеством R(C, µ), причем из вершины m в вершину m' ведет дуга, если существует переход tj
T, такой, что δ (µ, tj) = µ’.
В общем случае дерево достижимых разметок может иметь бесконечное число вершин.
П р и м е р 1
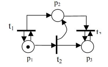
Маркированная сеть Петри, для которой строится дерево достижимости

Первый шаг построения дерева достижимости
Начальная маркировка (1, 0, 0). При этой маркировке разрешены два перехода t1 и t2.

Второй шаг построения дерева достижимости

Третий шаг построения дерева достижимости

И т. д.







