ФАПЧ
Лекция 6
Фазовая автоподстройка частоты

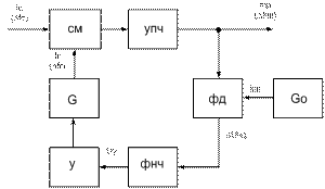
Рис. 6.1 структурная схема ФАПЧ
ФД выполняет роль частотного измерительного элемента в системе ФАПЧ;
Эталон частоты – fоп
w=df/dt; (6.1)
Sфд=dU/df; (6.2)
Sфдf = dU/ ((d/dt)(dj)) à Sфдf(p) =(1/p) Sфд (p) (6.3)
Т.е. ФД в системе ФАПЧ обладает свойствами идеального интегратора

Рис. 6.2 модель ФАПЧ
Кос(p) = SуSфд (1/p) (1/(pT+1)) (6.4)
КS(p) = p(Tp+1)/(Tp2+p-k) (6.5)
(Tp2+p-k) – характеристическое уравнение определяет устойчивость,
которое в ФАПЧ выполняется автоматически, независимо от знаков крутизны управителя и ФД (объясняется периодичностью статической характеристики ФД чередование участков с + и - крутизной)

Рис. 6.3 статическая характеристика ФД
Корни:
p1,2 = (-1+- sqrt(1-4| k |T))/2T (6.6)
могут быть вещ. и компл.
При4| k |T <1 – вещественные – процесс апериодический, иначе – колебательный
Ошибка по частоте при ед. скачке Df0(t) = Df0 ; L(Df0) = Df0/p (6.7)
Df0ост = lim(pDfпр(p)) = lim(p КS(p) Df0(p)) =0 (6.8)
Pà0
ФАПЧ с однозвенным апериодическим фильтром обладает астатизмом 1-го порядка, т.е. полностью устраняет постоянное во времени частотное рассогласование, что обеспечивается интегрирующим действием фазового детектора.
|
|
|
Но при слежении за фазой – эта система статическая.






