ЛЕКЦИЯ № 9
Во-первых – это процесс социализации личности, ее физического и духовного воспроизводства, интеллектуального и нравственного совершенствования.
Во-вторых – это создание условий для свободного и всестороннего развития каждого человека, для активной и полноценной жизнедеятельности индивидов, социальных групп и территориальных общностей.
В современной литературе не существует однозначного определения категории «уровень социального развития»
Виды обобщающих показателей уровня социального развития
- Частные показатели состояния экономики или социальной сферы.
- Интегральные показатели, синтезирующие систему частных показателей.
Частные показатели уровня социального развития
- валовой внутренний продукт (или национальный доход) на душу населения,
- доля расходов на питание в общих расходах домохозяйства,
- средняя продолжительность жизни населения;
- количество свободного времени.
Рейтинг стран по продолжительности жизни
- Андорра (83,5)
- Макао (81,9)
- Сан-Марино (81,4)
- Япония (80,9)
- Сингапур (80,4)
- Швеция (80,0)
- Италия (79,4)
- Франция (79,3)
- Германия (78,4)
- США (77,1)
- Китай (72,2)
142. Россия (67,7)
|
|
|
Частные показатели уровня социального развития
· коэффициент естественного прироста населения;
· коэффициент механического прироста населения;
· уровень младенческой смертности;
· уровень образования населения;
· уровень доходов населения;
· уровень развития социальной инфраструктуры и др.
Интегральные показатели уровня социального развития
· индекс человеческого развития.
Уровень жизни — социально-экономическая категория, характеризующая степень удовлетворения материальных и духовных потребностей людейи выражающаяся в количестве и качестве потребляемых человеком благ и услуг
Качество жизни — субъективная оценка степени удовлетворения материальных и духовных потребностей людей
Группы показателей уровня жизни населения (статистика ООН)
- Рождаемость, смертность и другие демографические характеристики населения
- Санитарно-гигиенические условия жизни
- Потребление продовольственных товаров
- Жилищные условия
- Образование и культура
- Условия труда и занятость
- Доходы и расходы населения
- Стоимость жизни и потребительские цены
- Транспортные средства
- Организация отдыха
- Социальное обеспечение
Свобода человека
Формула расчета уровня жизни населения:
SL – оценка уровня жизни населения, усл. ед.;
ISLk – значение стандартизированного k -го частного показателя уровня жизни населения, усл. ед.;
αk – коэффициент значимости k -го частного показателя уровня жизни населения;
|
|
|
k =1, 2,..., m;
m - число частных показателей уровня жизни населения
В последнее время системы показателей уровня и качества жизни всё более перекрывают друг друга. Различие между ними сохраняется лишь в акцентах:
- показатель уровня жизни акцентирован на измерение степени удовлетворения материальных потребностей людей, а
- показатель качества жизни акцентирован на измерение степени удовлетворения духовных потребностей.
Рейтинг стран по качеству жизни
- Ирландия
- Швейцария
- Норвегия
- Люксембург
- США
- Япония
- Тайвань
- Франция
- Германия
- Китай
- Литва
- Армения
- Украина
- Россия
- Нигерия
- Зимбабве
Человеческий потенциал – это приобретенные людьми знания, квалификация, здоровье, энергия и мотивация, которые могут быть использованы для производства материальных и духовных благ, свободного развития и самосовершенствования каждого человека
Амартия Сен: Процесс развития рассматривается как процесс расширения «возможностей» людей, а не повышение материального или экономического благосостояния или удовлетворенности. Цель развития - не увеличить производство, а позволить людям расширить свой выбор, совершать больше дел, жить долго, спастись от болезней, которых можно избежать, иметь доступ к знаниям человечества и так далее. Возможности и выбор тесно взаимосвязаны между собой и со свободой: в конечном счете развитие – это вопрос свободы.
Формула расчета индекса развития человеческого потенциала (ИЧРП):
I1 - ожидаемая продолжительность жизни при рождении;
I2 - достигнутый уровень образования;
I3 - реальный объем ВВП в расчете на душу населения (в долларах на основе паритета покупательной способности (ППС).
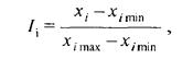
Формула расчета частных показателей ИЧРП:

где xi – фактическое значение i -го показателя;
xi min и xi max – соответственно минимальное и максимальное значение i -го показателя.
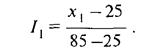
Формула расчета индекса ожидаемой продолжительности жизни при рождении ( I 1): 
Формула расчета индекса достигнутого уровня образования (I2):
где I 21 - индекс грамотности среди взрослого населения;
I 22 - индекс совокупной доли учащихся начальных, средних и высших учебных заведений.
Формулы расчета индекса реального объема ВВП в расчете на душу населения ( I3 ):

Рейтинг стран по индексу развития человеческого потенциала (ИРЧП) за 2004 год
- Норвегия
- Швеция
- Австралия
- Канада
- Исландия
7. США
- Великобритания
- Франция
- Германия
- Куба
- Мексика
- Болгария
- Россия
- Ливия
- Малайзия