1. Для расчета параметров уравнения линейной регрессии строим расчетную таблицу D.2.
Таблица D.2
| | | | | | | | |
| -16 | 12,0 | |||||||
| -4 | 2,7 | |||||||
| -23 | 17,2 | |||||||
| 2,6 | ||||||||
| 1,9 | ||||||||
| 10,8 | ||||||||
| 0,0 | ||||||||
| 0,0 | ||||||||
| 5,3 | ||||||||
| 3,1 | ||||||||
| 7,5 | ||||||||
| -10 | 5,8 | |||||||
| Итого | 68,9 | |||||||
| Среднее значение | 85,6 | 155,8 | 13484,0 | 7492,3 | 24531,4 | – | – | 5,7 |
| 12,84 | 16,05 | – | – | – | – | – | – |
| 164,94 | 257,76 | – | – | – | – | – | – |
;
.
Получено уравнение регрессии:
.
С увеличением среднедушевого прожиточного минимума на 1 руб. среднедневная заработная плата возрастает в среднем на 0,89 руб.
2. Тесноту линейной связи оценит коэффициент корреляции:
;
.
Это означает, что 51% вариации заработной платы (
) объясняется вариацией фактора
– среднедушевого прожиточного минимума.
|
|
|
Качество модели определяет средняя ошибка аппроксимации:
.
Качество построенной модели оценивается как хорошее, так как
не превышает 8-10%.
3. Оценку значимости уравнения регрессии в целом проведем с помощью
-критерия Фишера. Фактическое значение
-критерия:
.
Табличное значение критерия при пятипроцентном уровне значимости и степенях свободы
и
составляет
. Так как
, то уравнение регрессии признается статистически значимым.
Оценку статистической значимости параметров регрессии проведем с помощью
-статистики Стьюдента и путем расчета доверительного интервала каждого из показателей.
Табличное значение
-критерия для числа степеней свободы
и
составит
.
Определим случайные ошибки
,
,
:
;
;
.
Тогда
;
;
.
Фактические значения
-статистики превосходят табличное значение:
;
;
,
поэтому параметры
,
и
не случайно отличаются от нуля, а статистически значимы.
Рассчитаем доверительные интервалы для параметров регрессии
и
. Для этого определим предельную ошибку для каждого показателя:
;
.






Анализ верхней и нижней границ доверительных интервалов приводит к выводу о том, что с вероятностью
параметры
и
, находясь в указанных границах, не принимают нулевых значений, т.е. не являются статистически незначимыми и существенно отличны от нуля.
4. Полученные оценки уравнения регрессии позволяют использовать его для прогноза. Если прогнозное значение прожиточного минимума составит:
руб., тогда прогнозное значение заработной платы составит:
руб.
5. Ошибка прогноза составит:
.
Предельная ошибка прогноза, которая в
случаев не будет превышена, составит:
|
|
|
.
Доверительный интервал прогноза:

руб.;
руб.
Выполненный прогноз среднемесячной заработной платы является надежным (
) и находится в пределах от 131,66 руб. до 190,62 руб.
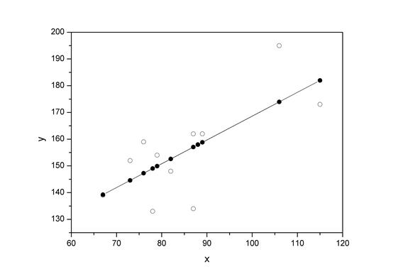
6. В заключение решения задачи построим на одном графике исходные данные и теоретическую прямую (рис. D.1):







