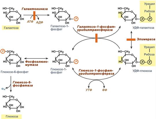
Галактоза сначала подвергается фосфорилированию по 1-му атому углерода. Отличительной особенностью является превращение в глюкозу не напрямую, а через синтез УДФ-галактозы из галактозо-1-фосфата. Источником УМФ является УДФ-глюкоза, заранее имеющаяся в клетке. Образованная УДФ-галактоза впоследствии изомеризуется в УДФ-глюкозу и далее ее судьба различна.
Она может:
- участвовать в реакции переноса УМФ на галактозо-1-фосфат,
- превращаться в свободную глюкозу и выходить в кровь,
- отправляться на синтез гликогена.

Галактоземия – врожденное наследственное заболевание, связанное с недостаточной активностью в печени фермента гексозо-1-фосфат-уридилилтрансферазы. Вследствие дефицита этого фермента галактоза, поступающая в организм новорожденного с лактозой молока матери, не может превратиться в глюкозу. Концентрация галактозы в крови увеличивается, и галактоза превращается в токсический продукт – спирт галактитол(дульцит), что приводит к катаракте, задержке роста и умственной отсталости. Рекомендуется введение безгалактозной диеты.