Лекция 22.
Рассмотрим выборку двумерной случайной величины (Х, Y). Примем в качестве оценок условных математических ожиданий компонент их условные средние значения, а именно: условным средним
назовем среднее арифметическое наблюдавшихся значений Y, соответствующих Х = х. Аналогично условное среднее
- среднее арифметическое наблюдавшихся значений Х, соответствующих Y = y. В лекции 11 были выведены уравнения регрессии Y на Х и Х на Y:
M (Y / x) = f (x), M (X / y) = φ (y).
Условные средние
и
являются оценками условных математических ожиданий и, следовательно, тоже функциями от х и у, то есть
= f* (x) - (22.1)
- выборочное уравнение регрессии Y на Х,
= φ * (у) - (22.2)
- выборочное уравнение регрессии Х на Y.
Соответственно функции f* (x) и φ* (у) называются выборочной регрессией Y на Х и Х на Y, а их графики – выборочными линиями регрессии. Выясним, как определять параметры выборочных уравнений регрессии, если сам вид этих уравнений известен.
Пусть изучается двумерная случайная величина (Х, Y), и получена выборка из п пар чисел (х 1, у 1), (х 2, у 2),…, (хп, уп). Будем искать параметры прямой линии среднеквадратической регрессии Y на Х вида
|
|
|
Y = ρyxx + b, (22.3)
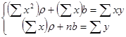
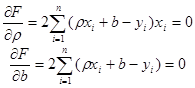
Подбирая параметры ρух и b так, чтобы точки на плоскости с координатами (х 1, у 1), (х 2, у 2), …, (хп, уп) лежали как можно ближе к прямой (22.3). Используем для этого метод наименьших квадратов и найдем минимум функции
. (22.4)
Приравняем нулю соответствующие частные производные:
.
В результате получим систему двух линейных уравнений относительно ρ и b:
. (22.5)
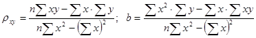
Ее решение позволяет найти искомые параметры в виде:
. (22.6)
При этом предполагалось, что все значения Х и Y наблюдались по одному разу.
Теперь рассмотрим случай, когда имеется достаточно большая выборка (не менее 50 значений), и данные сгруппированы в виде корреляционной таблицы:
| Y | X | ||||
| x 1 | x 2 | … | xk | ny | |
| y1 y 2 … ym | n 11 n 12 … n 1 m | n 21 n 22 … n 2 m | … … … … | nk 1 nk 2 … nkm | n 11+ n 21+…+ nk 1 n 12+ n 22+…+ nk 2 …………….. n 1 m +n 2 m +…+ nkm |
| nx | n 11+ n 12+…+ n 1 m | n 21+ n 22+…+ n 2 m | … | nk 1+ nk 2+…+ nkm | n= ∑ nx = ∑ ny |
Здесь nij – число появлений в выборке пары чисел (xi, yj).
Поскольку
, заменим в системе (22.5) 
, где пху – число появлений пары чисел (х, у). Тогда система (22.5) примет вид:
. (22.7)
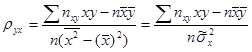
Можно решить эту систему и найти параметры ρух и b, определяющие выборочное уравнение прямой линии регрессии:
.
Но чаще уравнение регрессии записывают в ином виде, вводя выборочный коэффициент корреляции. Выразим b из второго уравнения системы (22.7):
.
Подставим это выражение в уравнение регрессии:
. Из (22.7)
, (22.8)
где
Введем понятие выборочного коэффициента корреляции

и умножим равенство (22.8) на
:
, откуда
. Используя это соотношение, получим выборочное уравнение прямой линии регрессии Y на Х вида
|
|
|
. (22.9)






