Пусть объекты генеральной совокупности обладают двумя качественными признаками (то есть признаками, которые невозможно измерить точно, но которые позволяют сравнивать объекты между собой и располагать их в порядке убывания или возрастания качества). Договоримся для определенности располагать объекты в порядке ухудшения качества.
Пусть выборка объема п содержит независимые объекты, обладающие двумя качествен-ными признаками: А и В. Требуется выяснить степень их связи между собой, то есть установить наличие или отсутствие ранговой корреляции.
Расположим объекты выборки в порядке ухудшения качества по признаку А, предполагая, что все они имеют различное качество по обоим признакам. Назовем место, занимаемое в этом ряду некоторым объектом, его рангом хi: х 1 = 1, х 2 = 2,…, хп = п.
Теперь расположим объекты в порядке ухудшения качества по признаку В,присвоив им ранги уi, где номер i равен порядковому номеру объекта по признаку А, а само значение ранга равно порядковому номеру объекта по признаку В. Таким образом, получены две последовательности рангов:
по признаку А … х 1, х 2,…, хп
по признаку В … у 1, у 2,…, уп.
При этом, если, например, у 3 = 6, то это означает, что данный объект занимает в ряду по признаку А третье место, а в ряду по признаку В – шестое.
Сравним полученные последовательности рангов.
1. Если xi = yi при всех значениях i, то ухудшение качества по признаку А влечет за собой ухудшение качества по признаку В, то есть имеется «полная ранговая зависимость».
2. Если ранги противоположны, то есть х 1 = 1, у 1 = п; х 2 = 2, у 2 = п – 1;…, хп = п, уп = 1, то признаки тоже связаны: ухудшение качества по одному из них приводит к улучшению качества по другому («противоположная зависимость»).
3. На практике чаще всего встречается промежуточный случай, когда ряд уi не монотонен. Для оценки связи между признаками будем считать ранги х 1, х 2,…, хп возможными значениями случайной величины Х, а у 1, у 2,…, уп – возможными значениями случайной величины Y. Теперь можно исследовать связь между Х и Y, вычислив для них выборочный коэффициент корреляции
, (21.2)
где
(условные варианты). Поскольку каждому рангу xi соответствует только одно значение yi, то частота любой пары условных вариант с одинаковыми индексами равна 1, а с разными индексами – нулю. Кроме того, из выбора условных вариант следует, что
, поэтому формула (21.2) приобретает более простой вид:
. (21.3)
Итак, требуется найти
и
.
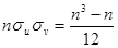
Можно показать, что
. Учитывая, что
, можно выразить
через разности рангов
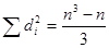
. После преобразований получим:
,
, откуда
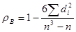
. Подставив эти результаты в (21.3), получим выборочный коэффициент ранговой корреляции Спирмена:
. (21.4)
Свойства выборочного коэффициента корреляции Спирмена.
1. Если между А и В имеется «полная прямая зависимость», то есть ранги совпадают при всех i, то ρВ = 1. Действительно, при этом di = 0, и из формулы (21.4) следует справедливость свойства 1.
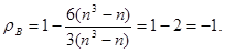
2. Если между А и В имеется «противоположная зависимость», то ρВ = - 1. В этом случае, преобразуя di = (2 i – 1) – n, найдем, что
, тогда из (21.4) 
3. В остальных случаях -1 < ρB < 1, причем зависимость между А и В тем меньше, чем ближе | ρB | к нулю.
Итак, требуется при заданном уровне значимости α проверить нулевую гипотезу о равенстве нулю генерального коэффициента ранговой корреляции Спирмена ρг при конку-рирующей гипотезе Н 1: ρ г ≠ 0. Для этого найдем критическую точку:
, (21.5)
где п – объем выборки, ρВ – выборочный коэффициент ранговой корреляции Спирмена, tкр (α, k) – критическая точка двусторонней критической области, найденная по таблице критических точек распределения Стьюдента, число степеней свободы k = n – 2.
Тогда, если | ρB | < Tкр, то нулевая гипотеза принимается, то есть ранговая корреляционная связь между признаками незначима.
Если | ρB | > Tкр, то нулевая гипотеза отвергается, и между признаками существует значимая ранговая корреляционная связь.
Можно использовать и другой коэффициент – коэффициент ранговой корреляции Кендалла. Рассмотрим ряд рангов у 1, у 2,…, уп, введенный так же, как и ранее, и зададим величины Ri следующим образом: пусть правее у 1 имеется R 1 рангов, больших у 1; правее у 2 – R 2 рангов, больших у 2 и т.д. Тогда, если обозначить R =R 1 + R 2 +…+ Rn- 1, то выборочный коэффициент ранговой корреляции Кендалла определяется формулой
(21.6)
где п – объем выборки.
Замечание. Легко убедиться, что коэффициент Кендалла обладает теми же свойствами, что и коэффициент Спирмена.
Для проверки нулевой гипотезы Н 0: τг = 0 (генеральный коэффициент ранговой корреляции Кендалла равен нулю) при альтернативной гипотезе Н 1: τг ≠ 0 необходимо найти критическую точку:
, (21.7)
где п – объем выборки, а zкр – критическая точка двусторонней критической области, определяемая из условия
по таблицам для функции Лапласа.
Если | τB | < Tкр, то нулевая гипотеза принимается (ранговая корреляционная связь между признаками незначима).
Если | τB | > Tкр, то нулевая гипотеза отвергается (между признаками существует значимая ранговая корреляционная связь).