Проверка гипотезы о значимости выборочного
Корреляционный анализ.
Лекция 21.
Рассмотрим выборку объема п, извлеченную из нормально распределенной двумерной генеральной совокупности (X, Y). Вычислим выборочный коэффициент корреляции rB. Пусть он оказался не равным нулю. Это еще не означает, что и коэффициент корреляции генеральной совокупности не равен нулю. Поэтому при заданном уровне значимости α возникает необходимость проверки нулевой гипотезы Н 0: r г = 0 о равенстве нулю гене-рального коэффициента корреляции при конкурирующей гипотезе Н 1: r г ≠ 0. Таким образом, при принятии нулевой гипотезы Х и Y некоррелированы, то есть не связаны линейной зависимостью, а при отклонении Н 0 они коррелированы.
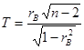
В качестве критерия примем случайную величину
, (21.1)
которая при справедливости нулевой гипотезы имеет распределение Стьюдента (см. лекцию 12) с k = n – 2 степенями свободы. Из вида конкурирующей гипотезы следует, что критическая область двусторонняя с границами ± t кр, где значение t кр(α, k) находится из таблиц для двусторонней критической области.
|
|
|
Вычислив наблюдаемое значение критерия

и сравнив его с t кр, делаем вывод:
- если | T набл| < t кр – нулевая гипотеза принимается (корреляции нет);
- если | T набл| > t кр – нулевая гипотеза отвергается (корреляция есть).






