Задано напряжение U1= const и мощность S1= const.
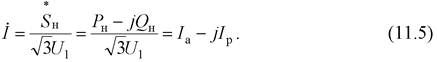
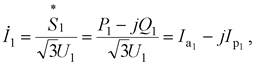
По известному напряжению U1вычислим ток источника питания
|
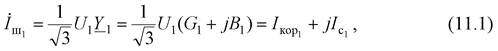
ток и мощность шунта в начале линии
|
|
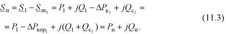
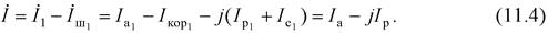
Тогда в соответствии с первым законом Кирхгофа мощность в начале линии
|
В общем случае рассматривается выдача реактивной мощности источником питания (синхронный генератор в режиме перевозбуждения). При потреблении источником питания реактивной мощности необходимо изменить знак перед реактивной мощностью.
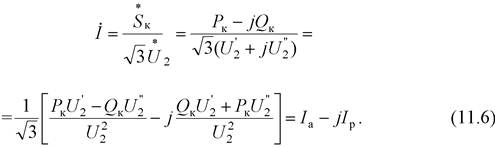
Аналогично ток линии равен
|
Этот же ток по данным в начале звена равен
|
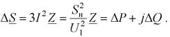
По найденным токовой нагрузке звена или потоку мощности в его начале можно определить падение напряжения и потери мощности. В соответствии с законом Ома
|
Согласно закону Джоуля – Ленца запишем
|
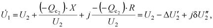
Тогда в конце линии напряжение
|
и поток мощности
|
что позволяет вычислить ток линии по данным в конце продольного звена:
|
Заметим, что В2
G2 и 
Векторная диаграмма напряжений, построенная в соответствии с выражением (11.30), приведена на рис. 11.2. Отсюда видно, что при холостом ходе емкостная зарядная мощность, протекая по ЛЭП, вызывает повышение напряжения в конце линии.
|
Найдем напряжение в начале линии по данным конца. С учетом на-
правления зарядной мощности (Pк=0) получим
|
откуда модуль напряжения в начале линии
|
Состояние электрических напряжений можно отобразить векторной диаграммой (рис. 11.3), из которой видно, что в режиме холостого хода напряжение в конце линии больше, чем в начале, и отстает от U1 по фазе δ.
Можно дополнительно учесть, что при росте U2 происходит увеличение зарядной мощности ЛЭП, которое компенсирует её потери
|
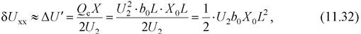
Превышение напряжения δUхх в конце ЛЭП относительно напряжения в начале можно приравнять (с допустимой погрешностью) к продольной составляющей падения напряжения
|
т. е. с увеличением длины напряжение в конце ЛЭП возрастает квадратично (рис. 11.4):
|
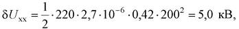
Дадим оценку возможного превышения напряжения. Для ВЛ 220 кВ средней длины, например равной 200 км, получим
|
а для ВЛ 500 кВ протяженностью 500 км имеем
|
Уточним значение δUхх, ограничиваясь вторым приближением:
|
что превышает максимально допустимое значение 525 кВ по электрической прочности изоляции.
В итоге отметим, что в режиме холостого хода напряжение в конце протяженных ЛЭП напряжением свыше 220 кВ может достигнуть значений, на которые изоляция линий и электрооборудования не рассчитана.
Кабельные линии имеют значительно большие удельные ёмкостные генерации, чем воздушные. Однако, учитывая, что кабельные линии большой протяженности не прокладывают, значительные превышения напряжения в конце линий не ожидаются.