Этап 2. Расчет напряжений в узлах сети

Исходными данными при этом служат заданное напряжение UА источника питания и найденные на предыдущем этапе расчета мощности в начале каждого участка сети.

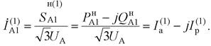
1. Определяем ток головного участка сети по данным начала звена


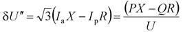
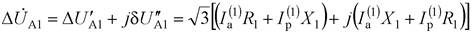
2. Вычисляем падение напряжения на головном участке


или эту же величину, определяемую через поток головного участка


3. Находим в соответствии с указанным направлением тока напряжение в узле 1



На рис. 11.8 приведена векторная диаграмма напряжений, соответствующая выражению (11.38). По диаграмме определяют величину (модуль) напряжения в узле 1


и фазу (аргумент) этого напряжения


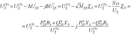
Расчет напряжений в других узловых точках сети выполняют аналогично. В частности, для концевого участка сети напряжение НН, приведенное к ВН,


вычисляют через значение модуля вектора напряжения U2, получаемого в

результате совмещения с осью отсчета аргументов (осью вещественных величин). Причем фазовый угол δ3 равен сумме углов между векторами напряжений соседних узловых точек и определяется выражением вида (11.37).

На рис. 11.9 приведена векторная диаграмма напряжений данной сети при заданном напряжении UА в источнике питания.

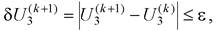
Второй этап завершает расчет режима сети в первом приближении. Уточнение параметров электрического режима можно выполнить на второй итерации по рассмотренному алгоритму расчета, заменив начальное приближение напряжения на вычисленное в первом приближении. Формально окончание расчета можно контролировать вычислением критерия ви-да (10.36) для наиболее удаленной узловой точки 3:


т. е. вычисления будут повторяться до тех пор, пока значение искомой переменной U3 на двух смежных итерациях не будет отличаться на сколь угодно малую наперёд заданную величину ε. Однако практически достаточно для неперегруженных разомкнутых сетей выполнить одно-два приближения (итерации) рассмотренного расчета.


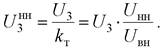
Зная напряжение U3, определим фактическое напряжение на шинах НН подстанции, например, при номинальном коэффициенте трансформации :


В итоге отметим, что при расчете режимов слабозагруженных сетей 110 кВ и сетей меньших номинальных напряжений общие расчетные формулы, приведенные здесь для определения напряжений в узловых точках сети, можно упростить. Поперечная составляющая падения напряжения


и соответственно фазовый сдвиг напряжений (11.39), например при передаче по сети активно-индуктивной мощности, имеет незначительную величину, поэтому ее влияние на модуль напряжения


не учитывается, т. к. практически лежит в пределах точности расчета, а расчет напряжений ведется по упрощенным формулам вида (9.34).





Подборка статей по вашей теме: