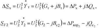
Опорными исходными данными являются напряжения в конце сети U3 и нагрузки в узлах S 1 и S 3. В этом случае можно точно определить ток в самом удаленном от источника питания узле:
|
что позволяет однозначно определить параметры электрического режима в результате одной серии (одного подхода) последовательно выполняемых однотипных расчетов. Расчет выполняют в один этап при последовательном переходе от участка к участку в направлении от конца сети (точка 3) к ее началу (источник питания А). При этом определяют падения напряжения, потери мощности на каждом участке, а через них соответственно напряжение в ближайшем узле и потокораспределение участка.
При известном напряжении U3 и коэффициенте трансформации
ток нагрузки и напряжение, приведенные к ВН, равны
а мощности до и после трансформации одинаковые, т.е. 
Падение напряжения в обмотках трансформатора с сопротивлением Z 3 при заданном характере (cos
) нагрузки 

При переходе к линейным напряжениям

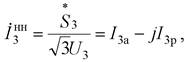
Если выразить ток
и его слагаемые через известную мощность
нагрузки, то можно записать

Как правило, напряжение в конце U3 задается действительной величиной, т. е. если вектор
совместить с осью действительных величин, то 
|
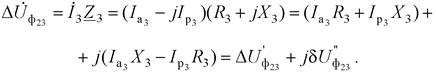
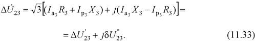
Тогда с учетом направления тока от начала к концу участка
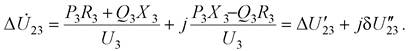
|
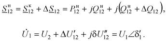
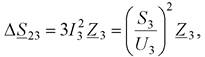
Выражению (11.35) соответствует векторная диаграмма, показанная на рис. 11.6.
Согласно (11.35), модуль (значение) напряжения в точке 2 будет равно
|
|
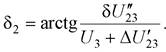
Сдвиг напряжения по фазе за счет поперечной составляющей падения напряжения на участке 2–3 определяют в соответствии с рис. 11.6 выражением
|
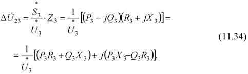
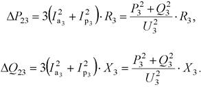
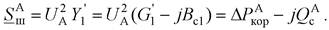
При известном U3 потери мощности в сопротивлении трансформатора
определяются как
|
откуда активные и реактивные потери мощности соответственно
|
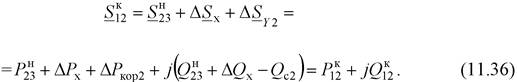
Следовательно, мощность в начале участка 2–3
|
Вычислением потока мощности
заканчивается расчет электрического режима концевого (последнего) участка разомкнутой сети 2–3. В результате оказываются известными все необходимые данные для расчета следующего участка. Это дает возможность выполнить расчет по данным в конце участка точно так же, как выполнялись расчеты режима последнего участка схемы с сопротивлением Z 3.
Расчет участка 1–2 (линия W2) выполняют по формулам, которые приведены ранее для участка 2–3. При этом вектор
вновь совмещается с осью действительных величин.
Для расчёта мощности
в конце участка 1–2 необходимо определить мощности шунтов (потери холостого хода трансформатора и половины линии W2), включенных в узле 2 с вычисленным напряжением
:
|
В последнем выражении определены потери на коронирование и зарядная мощность в конце линии W2. Тогда мощность в конце участка 1–2 (линия W2):
|
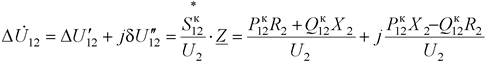
Зная модуль напряжения U2 в узле 2, можно вычислить падение напряжения
|
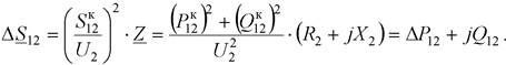
и потери мощности в линии W2
|
Мощность и напряжение в начале линии W2:
|
Расчет модуля напряжения
аналогичен определению модуля
, т. е.
|
Углом сдвига фаз напряжений U1 и U2 относительно друг друга является
).
Аналогично ведут расчеты для головного участка данной сети. Так, напряжение
в балансирующем источнике отличается от
как по величине, так и по фазе. В рассмотренном расчете напряжения, полученные в конце каждого участка сети, совмещаются с вещественной осью отсчета. Ось отсчёта для получения напряжения UА участка А–1 сдвинута по фазе
(потери на корону и зарядная мощность в начале линии W1)
|






