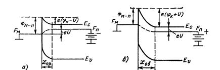
Если подключить внешнюю батарею, то, создаваемое ею электрическое поле, в зависимости от полярности подключения батареи, будет либо усиливать электрическое поле в контактной области, либо ослаблять его (рис. 4.15).
|
| Рис. 4.15. Прямое (а) и обратное (б) смещение на контакте металл-электронный полупроводник |
При этом высота барьера между металлом и полупроводником будет увеличиваться или уменьшаться в зависимости от подаваемого смещения
. Поскольку удельное сопротивление полупроводника много больше, чем удельное сопротивление металла, можно считать, что падение напряжения, возникающее в рассматриваемой структуре полностью приложено к области потенциального барьера полупроводника. Важно подчеркнуть, что внешнее напряжение может только выпрямить границы разрешенных зон (при
)! Другими словами, при приложении больших прямых смещений электроны начнут «убегать» от батареи смещения и все зоны станут наклоняться аналогично рис. 3.2.
|
| Рис. 3.2 |
Толщина слоя объемного заряда в случае, когда приложено внешнее смещение, будет определяться соотношением
. | (4.32) |
В случае приложения к контакту металл-полупроводник внешнего напряжения состояние полупроводника становится неравновесным и концентрация электронов будет определяться квазиуровнем Ферми Fn(x). В глубине полупроводника положение уровня Ферми остается постоянным. Если положения квазиуровня Ферми отсчитывать от дна зоны проводимости, для концентрации электронов можно записать следующие выражения:
. | (4.33) |
Определим теперь плотность тока, текущего через контакт металлом-полупроводник, при различной полярности внешнего напряжения.
При подключении прямого смещения к полупроводнику n -типа (минус батареи) контактная разность потенциалов между металлом и полупроводником уменьшится. В результате снижения потенциального барьера со стороны полупроводника увеличится поток электронов, появится ток термоэлектронной эмиссии:
. | (4.34) |
где Js – плотность тока насыщения, равная:
. | (4.35) |
где
- постоянная Ричардсона,
.-. высота барьера для электронов со стороны металла.
Формула (4.34) хорошо описывает вид ВАХ барьера Шоттки (рис. 4.17).
| |
| Рис. 4.17. ВАХ контакта металл- полупроводник (диод Шоттки) |
При подключении обратного смещения (минус батареи) контактное поле возрастает, и электроны из полупроводника не в состоянии преодолеть его, поэтому соответствующий ток. уменьшается до нуля. В то же время контактное поле не препятствует потоку электронов из металла (ток Js .), и именно он и определяет обратный ток. Этот ток практически остается постоянным, поскольку высота барьера со стороны металла очень слабо зависит от внешнего смещения.
Нами рассмотрен случай контакта электронного полупроводника с металлом, однако диодными характеристиками будет обладать и контакт дырочного полупроводника с металлом. Однако для возникновения барьера необходимо, чтобы работа выхода металла был малой.
.
.
.
.






