Для случая t ≤ ф плотность распределения времени до отказа резервного элемента при ненагруженном режиме щ(t) = 0 (см.рис.4.12, в). В этом режиме (л20 = 0. p20 = 1, а б = 0).
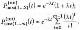
Выражения для определения вероятности безотказной работы за время t в случае одного основного элемента и т — 1 резервных элементов, как показано в литературе, имеют следующий вид:
(5.80)
(5.81)
На рис.4.18 показаны зависимости вероятности безотказной работы узла, состоящего из одного основного и одного резервного элементов, заменяемого способом замещения при различных режимах работы резервного элемента. Из рис.4.18 видно, что наибольший выигрыш в надежности получается в ненагруженном режиме.

| Рис.4.18. Влияние характера режима, работы резервного элемента на вероятность безотказной работы узла при т = 2, а = 0,5: 1 — ненагруженныйрежим; 2 — облегченныйрежим; 3 — нагруженный режим |






