При анализе следует иметь в виду, что характер отказов элементов при резервировании замещением не играет никакой роли, так как отказавший элемент отключается от электрической схемы и вместо него подключается исправный.
Методы анализа безотказности зависят от того, в каком режиме нагружения находится резерв. Рассмотрим приемы анализа безотказности устройств в случае нагруженного резерва, проиллюстрировав их на примере.
Пример 5. Пусть схема (модель) расчета надежности имеет вид, показанный на рис.4.13.

Рис. 4.13. Схема расчета надежности
Будем считать, что основной и резервные элементы одинаковы, а элемент 4 имеет минимальную функционально необходимую структуру, т.е. эквивалентен цепочке, показанной на рис.4.14.

Рис. 4.14. Структура элемента 4
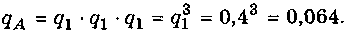
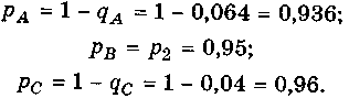
Предположим, что для заданного времени tзработы устройства известны вероятности безотказной работы элементов 1, 2, 3:

Решение. Из рис.4.13 видно, что устройство состоит из узлаА (который представляет собой резервируемую структуру с кратностью резервирования два к одному), узла В(нерезервируемый элемент), узла С,(резервируемая структура с кратностью резервирования один к одному) и узла D(резервный элемент для устройства в целом).
1. Определим вероятность безотказной работы элемента 4,
помня, что с точки зрения надежности он состоит из трех последовательно соединенных элементов.
С использованием основного расчетного соотношения (3.1) можно определить вероятность безотказной работы элемента 4:

2. Рассмотрим узел А.Вначале определим вероятность отказа элемента 1. Получим

Нетрудно понять, что отказ узла Ав целом произойдет тогда, когда откажут как основной элемент, так и два резервных. Вероятность этого события может быть подсчитана как

Здесь и далее считаем надежность переключающих устройств идеальной, т.е. Рперекл=1. В случае произвольного числа резервных элементов r вероятность отказа резервируемого узла подсчитывается по формуле

3. Рассмотрим узел С. Определим вероятность отказа элемента типа 3:

Подсчитаем вероятность отказа узла С, получим

4. Подсчитаем вероятность безотказной работы устройства,
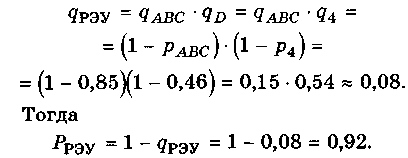
состоящего из узлов А, В, С. Вначале определим вероятности без-отказной работы каждого из них:

| Рис.4.15. Соединение узлов А,В, С |

Узлы А, В, С с точки зрения надежности соединены последовательно (рис.4.15). Следовательно, используя основное расчетное соотношение, их общую вероятность безотказной работы можно определить как

5. Подсчитаем вероятность безотказной работы устройства в целом (с учетом узла D). Узел D резервирует узлы А, В, С,что схематически изображено на рис.4.16.

| Рис.4.16. Соединение узлов ABC и D |
Нетрудно понять, что отказ устройства в целом наступит при отказе как структуры ABC, так и узла D. Следовательно,

Заметим, что в случае отсутствия какого-либо резервирования данного РЭУ вероятность безотказной работы была бы равна значению 0,45.






