Рассмотрим простейший случай. РЭУ состоит из узла, представляющего собой один основной элемент и один — резервный (рис.5.40).
Резервный элемент до момента отказа основного элемента находится в облегченных условиях (режиме). Плотность распределения времени до отказа основного и резервного элементов показана на рис.5.35, б.Предполагаем, что переключающее устройство действует безотказно. Найдем вероятность безотказной работы узла, показанного на рис 4.17, за время t.

| Рис.4.17. Схема резервируемого узла |
Введем обозначения:
p1 — вероятность безотказной работы за время t основного
элемента;
л1— интенсивность отказов основного элемента;
p2 — вероятность безотказной работы резервного элемента
за время t в рабочем режиме;
л2 — интенсивность отказов резервного элемента в рабочем
режиме;
p20 — вероятность безотказной работы резервного элемента
за время t в облегченном режиме;
л20 — интенсивность отказов резервного элемента в облегченном режиме;
ф — момент включения резервного элемента вместо отказавшего основного (см. рис.4.12, б).
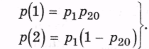
Нетрудно установить, что основной элемент имеет два состояния: работает безотказно либо отказал. Резервный элемент имеет четыре состояния: работает безотказно либо отказал в облегченном режиме, работает безотказно либо отказал в рабочем режиме, который может иметь место с момента ф. Значит, общее число состояний рассматриваемого уела (см. рис.4.17) будет равно восьми. Из них благоприятными безотказной работе узла в целом будут лишь следующие три состояния:
1) оба элемента работоспособны на интервале времени t:
2) основной элемент работает безотказно на интервале
времени от 0 до t, а резервный отказал в интервале времени от
О до ф;
3) основной элемент отказал на интервале времени от 0 до т,
а резервный элемент работает безотказно в интервале от 0 до т
(в облегченном режиме) и в интервале от ф доt (в рабочем
режиме).
Тогда вероятность безотказной работы узла в целом за время t определяется как сумма вероятностей указанных трех состоянии
(4.7)
Легко получить, что
(4.8)
При определении р(3) существенную роль играет момент времени т. Он случаен и может изменяться от 0 до t.
В работе литературе показано, что для любых значений ф
(4,9)
Подставляя (5.75) и (5.76) в выражение (5.74), получим
(5.77)
В случае, когда основной и резервный элементы одинаковы, т.е. при

получим
(5.78)
где а = Я-оА — коэффициент загрузки элемента.
Формула (5.78) получена в предположении, что для элементов справедлив экспоненциальный закон надежности, т.е. когда

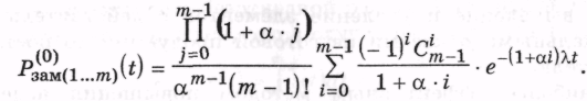
В случае, когда один элемент основной, m - 1 резервные, формула для оценки вероятности безотказной работы узла может быть получена (при одинаковых элементах) [23] в виде
(4.11)






