Количество путей в парке отправления ПТО (СПТО) и транзитном парке СПТО зависит от количества проходящих поездов в сутки и времени обработки поезда. Согласно организации работы ПТО сортировочной станции в парке отправления проходят техническое обслуживание поезда своего (местного) формирования и транзитные поезда.
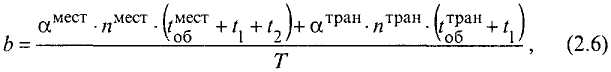
Количество путей в парке отправления ПТО определяем по формуле

где αмест, αтран — коэффициенты неравномерности прибытия поездов своего (местного) формирования и транзитных (αмест = 2; αтран = 2,5);
nмест, nтран — количество поездов местного формирования и транзитных, обрабатываемых в парке в сутки;
,
— обработки поезда своего формирования и транзитного, мин (
= 40-50 мин;
= 30 мин);
t 1 — время предъявления поезда к обработке, мин (t 1= 2,5 мин);
t2 — время продвижения состава из сортировочного парка в парк
отправления, мин;
T— продолжительность суток, мин.
Время продвижения состава из сортировочного парка в парк отправления вычислим по формуле

где l 1 — расстояние от сортировочного парка до парка отправления, м (l 1 =150м);
V — скорость поезда при занятии путей парка, м/мин (V - 5 км/ч).
Так как СПТО имеет раздельные парки отправления и транзитные, количество путей в этих парках рассчитываем по формулам:


где
,
— коэффициенты неравномерности поездов своего(местного) формирования обычного и повышенного веса
= 2;
= 2,5;
— то же для транзитных поездов;
= 2,5;
= 3,0;
,
— количество поездов своего (местного) формирования обычного и повышенного веса;
,
— то же для транзитных поездов;
,
—время обработки поезда своего формирования обычного повышенного веса, мин (
= 50 мин;
= 70 мин);
,
— то же для транзитных поездов, мин (
= 50 мин;
= 60 мин);
t 1 — время предъявления поезда к обработке, мин (t 1 = 2,5 мин);
t 2, t 3 — время продвижения состава из сортировочного парка в па отправления (обычного поезда и поезда повышенной длины), мин (см. формулу 2.7).






