Количество ремонтных бригад в парке отправления и транзитном (СПТО) зависит от количества обрабатываемых поездов, интервалов их прибытия и отправления. Количество ремонтных бригад, одновременно обрабатывающих прибывшие поезда, определяем по формулам:
для ПТО 
для парка отправления СПТО

для транзитного парка СПТО

Количество рабочих в ремонтной бригаде зависит от количества обрабатываемых вагонов в поезде и затрат труда на техническое обслуживание одного вагона. Определяем его по формуле

где Hо — средние затраты труда на техническое обслуживание одного вагона, чел.-мин;
η — коэффициент, учитывающий снижение трудоемкости работ вследствие внедрения средств механизации технического обслуживания вагонов (η= 0,8—0,95).
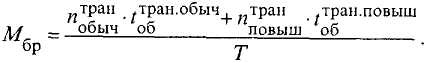
Потребное количество рабочих парка отправления вычисляем по формуле

где ηP — коэффициент, учитывающий отсутствие рабочих по уважительным причинам (ηP =1,07—1,12).
Количество рабочих одной смены рассчитаем из условия, что режим работы на ПТО круглосуточный и необходимы четыре смены:

После расчета численности рабочих выполняем распределение их по профессиям и составляем штатное расписание (табл. 2.1).
Таблица 2.1






