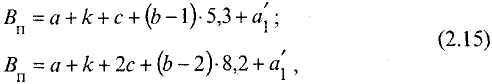
Определение ширины парка отправления. Ширина парка зависит от количества путей и расстояния между ними, а также расстояний до главных путей станции и между ними. Рассчитываем ее по формулам:

где а, а’ — расстояние от крайних путей до служебно-бытовых помещении с той и с другой стороны парка, м (а = 20—50м; а’ =10—15м);
к —расстояние между главными путями станции, м (к = 4,8 м);
с — расстояние от главных путей до смежных ремонтных путей парка, м (с = 5,6 м);
8,2 — расстояние между осями смежных путей парка, м.
Определение площади парка отправления

Определение площади служебно-бытового здания. Площадь здания ПТО рассчитываем из условия, что нa одного работника парка необходимо не менее 4,5 м2 площади, по формуле

Определение объема здания ПТО

где NПТО — высота здания ПТО м (если здание одноэтажное, то
NПТО = 3,6 м, если двухэтажное, то NПТО = 7,2 м).
Определение площади и объема помещений для кратковременного отдыха и обогрева работников:

где Nпом — высота помещения, м (Nпом =2,4м);
п — количество помещений (см. табл. 2.2).






