Требования к вольтметрам и амперметрам.
Измерительный прибор не должен изменять параметров и режимов работы объектов измерения.

- без А.
- с А.; 
Сопротивление амперметра должно быть малым 

Для того, что бы вольтметр не влиял на схемы, т.е. первому по закону Кирхгофа не забирал ток на себя, его сопротивление должно быть большим:


Стрелочные электронные вольтметры.

1. Um – амплитуда сигнала
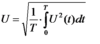
2. U – действующее или эффективное напряжение т.е. средне квадратичное за период.

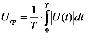
3. Среднее напряжение

Для синуса амплитуда равна:
Um=1.41u
Ucp=0.9 u






