При вычислении пределов используют теоремы о конечных пределах и теоремы обесконечно малых и бесконечно больших функциях.
Основные теоремы о конечных пределах.
1. Если f (x) = const (const – константа) при
, то
.
2.
, где C = const.
3.
, если f (x) – функция, непрерывная в точке х = а (см. п. 6).
4. Если
и
, где
– числа, то
,
и 
при условии, что
.
Теоремы обесконечно малых и бесконечно больших функциях
(для краткости обозначим: бм – бесконечно малая функция, бб – бесконечно большая функция, огр – локально ограниченная функция).
5. бм ± бм = бм.
6. бм × бм = бм.
7. бм × огр = бм.
8.
, если огр не является бм.
9. бб + бб = бб, если обе бб одного знака.
10. бб × бб = бб.
11. бб × огр = бб, если огр не является бм.
12.
.
Примеры.
1)
(здесь использована теорема 1);
2)
(здесь использованы теоремы 2, 3 и непрерывность функции у = 2 х – 1);

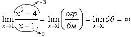
3) (здесь использована теорема 8);
4) 
(здесь использованы теоремы 2, 4 и 12).






