Пусть функция
определена в некоторой окрестности точки х = а, где а – конечная или бесконечно удаленная точка на числовой прямой Ох.
Число А называется конечным пределом функции
в точке х = а (или при
), если для любого числа
, сколь малым бы оно ни было, можно указать такую окрестность U (a) точки х = а (не включающую саму точку а), что при всех х, принадлежащих этой окрестности, выполняется неравенство
.
Предел функции обозначается так:
, или
при
.
Определение конечного предела при
можно записать символически следующим образом:
. (*)
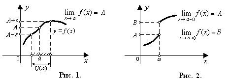
Геометрически существование конечного предела
в случае, когда
, означает, что значения функции
сколь угодно мало отличаются от числа А, если значения аргумента становятся достаточно близкими к точке х = а (рис. 1). При этом в самой точке а функцияможет быть не определена или определена, но может иметь значение, отличное от А.
Поведение функции только слева или только справа от точки
, т.е. в ее левой или правой окрестности, характеризуется ее односторонними пределами (рис. 2): левосторонний предел функции обозначается
, где условие
означет, что х остается левее точки а (
); правосторонний предел функции обозначается
, где условие
означет, что х остается правее точки а (
).
|
|
|

Существование предела
означает, что существуют оба односторонних предела и они совпадают между собой:
.
Если существует конечный предел функции при
:
, то в его определении (*) U (a) – это окрестность бесконечно удаленной точки числовой прямой (рис. 3). При этом можно рассматривать односторонние пределы:
или
(рис. 4).

Числовую последовательность
обычно рассматривают как функцию натурального аргумента n:
.
Если существует предел последовательности
, то его определение можно записать символически:
,
т.е. члены последовательности
сколь угодно мало отличаются от числа А при достаточно больших номерах n (для
).






