Рассмотрим второй случай, когда некоррелированный внешний шум присутствует только в измерениях входного процесса
, не проходя при этом через систему (рисунок 2.4).

– наблюдаемый входной процесс;
– наблюдаемый выходной процесс;
– ненаблюдаемый истинный входной процесс;
– ненаблюдаемый входной шум
Рисунок 2.4 – Система с внешним шумом на входе
Предполагаем также, что все процессы в системе относятся к стационарным, а их средние значения равны нулю
.
Наблюдаемая реализация входного процесса принимает вид
, (2.37)
где
– ненаблюдаемый истинный входной процесс;
– ненаблюдаемый некоррелированный входной шум.
Наблюдаемый входной спектр мощности с учетом некоррелированности
и
и выражения (2.37) состоит из суммы
. (2.38)
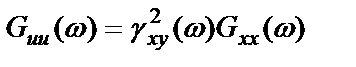
Поскольку внешний шум через систему не проходит, то справедливо равенство
. (2.39)
Для вывода выражения для взаимного спектра мощности наблюдаемых процессов на входе и выходе системы рассмотрим произведение мгновенных значений процессов в два различных момента времени
,
откуда
,
, (2.40)
где
– взаимная спектральная плотность истинных процессов на входе и выходе системы.
Рассмотрим произведение функции когерентности между процессами
и
и наблюдаемым входным спектром:
.
Учитывая равенства (2.38), (2.39), получим:
,
что соответствует спектру ненаблюдаемого истинного входного процесса
.
Произведение в правой части равенства
, (2.41)
носит название когерентного спектра входного процесса.
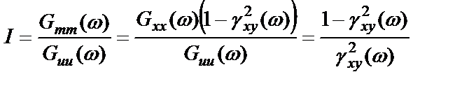
Отношение шума к истинному сигналу на входе рассматриваемой системы принимает вид, совпадающий с аналогичной величиной для системы с шумом на выходе:
.
К основным спектральным соотношениям для системы с некоррелированным внешним шумом на входе относятся выражения (2.39)-(2.41).






