Рассмотрим идеальную систему с импульсной характеристикой
и частотной характеристикой
. На вход системы поступает реализация стационарного эргодического случайного процесса
с нулевым средним значением, а на выходе после затухания переходных процессов формируется реализация стационарного процесса
.
Рассчитаем произведение мгновенных значений процессов на входе и выходе системы
и
в два различных момента времени с использованием интеграла свертки (2.4):
. (2.20)
Выполнив операцию усреднения над обеими частями равенства (2.20)
,
получим соотношение для взаимной ковариационной функции входного и выходного процессов в системе:
. (2.21)
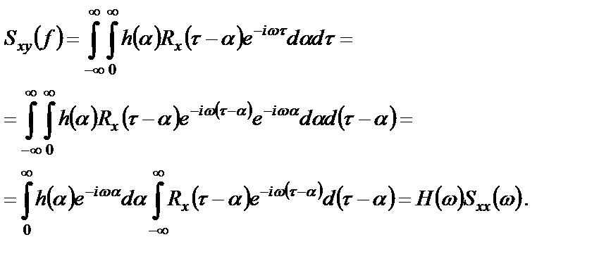
Применим прямое преобразование Фурье к соотношению (2.21) и учтем выражения для спектральных плотностей (1.33), (1.35):

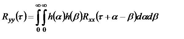
Аналогичные вычисления проведем и для произведения мгновенных значений выходного процесса системы в два различных момента времени:
. (2.22)
После усреднения выражения (2.22) получим
. (2.23)
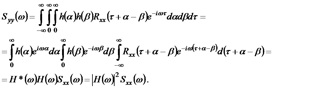
Прямое преобразование Фурье над соотношением (2.23) дает

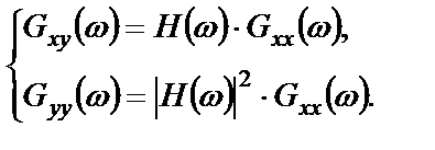
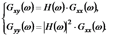
Таким образом, основные спектральные соотношения для идеальной системы, связывающие между собой спектральные плотности на входе и выходе системы, имеют вид:
(2.24)
Первое из выражений (2.24) является комплексным и называется соотношением для взаимных спектральных плотностей входного и выходного процессов системы, второе выражение – действительным и называется соотношением между спектральными плотностями входного и выходного процессов.
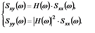
Выражения (2.24) справедливы и для физически измеримых односторонних спектральных плотностей:
(2.25)
Основные спектральные соотношения можно вывести и без предварительного нахождения ковариационных функций (2.21) и (2.23).
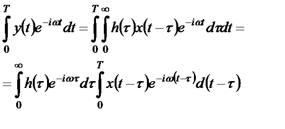
Для любой пары усеченных реализаций достаточно большой длины
интеграл свертки

в результате финитного преобразования Фурье (1.48)

преобразуется в эквивалентное равенство
. (2.26)
Тогда справедливы следующие соотношения:
(2.27)
Если теперь выражения (2.27) усреднить по ансамблю реализаций, умножить на величину
и устремить
к бесконечности, то из соотношений (1.51) получим формулы (2.25):







