Рассмотрим теперь более реалистичную модель системы, учитывающую влияние некоррелированного внешнего шума на наблюдения входного и выходного процессов (рисунок 2.5).
Предполагаем, что шумы не коррелированны между собой и с сигналами, т.е. для взаимных спектральных плотностей справедливо следующее соотношение:
.

,
– наблюдаемые процессы на входе и выходе;
,
– ненаблюдаемые истинные процессы на входе и выходе;
,
– ненаблюдаемые шумы на входе и выходе
Рисунок 2.5 – Система с внешним шумом на входе и выходе
Наблюдаемые реализации входных и выходных процессов имеют вид
,
,
где
,
– истинные сигналы;
,
– шумы на входе и выходе соответственно.
Из основных спектральных соотношений (2.25) для идеальной системы получим
(2.42)
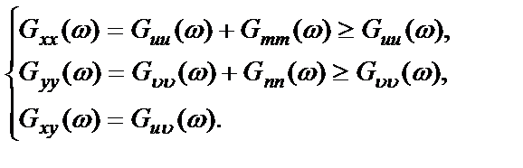
Однако в действительности наблюдаются спектральные плотности
, где, согласно п.2.5, 2.6,
(2.43)
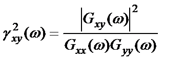
Истинная функция когерентности равна
,
а наблюдаемая функция когерентности имеет вид
.
Из формул (2.42), (2.43) находим
,
откуда
. (2.44)
Неравенство (2.44) будет строгим, если
или
, что на практике всегда имеет место.
Для рассматриваемой системы можно получить оценку частотной характеристики по наблюдениям процессов
,
, используя соотношения
, (2.45)
, (2.46)
где
– наблюдаемая частотная характеристика.
Выражение (2.45) позволяет оценить квадрат амплитудной характеристики по спектрам
, (2.47)
а выражение (2.46) – частотную характеристику по взаимному спектру
. (2.48)
Подстановка выражений (2.43) в (2.47) дает

или
, (2.49)
где
– истинная частотная характеристика согласно (2.42).
Очевидно, что
всегда дает смещенную оценку
, если
или
.
Подставляя выражения (2.43) в (2.48) и учитывая (2.42), получим

или
, (2.50)
откуда видно, что если
, то
даст несмещенную оценку частотной характеристики
независимо от значения спектральной плотности шума на выходе
.
Соотношения (2.49), (2.50) позволяют заключить, что взаимно-спектральные методы оценки частотной характеристики имеют преимущество над спектральными в том случае, когда на выходе системы имеется внешний шум. Кроме того, взаимно-спектральные методы позволяют не утратить информацию о фазовой составляющей частотной характеристики системы.






