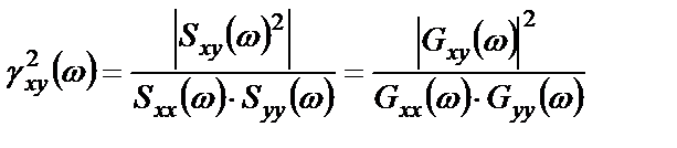
Функция обычной когерентности (используются также функции частной и множественной когерентности) между процессами
и
представляет собой действительную величину, которая уже была определена формулой (1.47):
,
причем
.
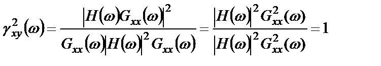
Для идеальной системы справедливо равенство
.
Следовательно, в случае линейной системы с постоянными параметрами и одним входом при полном отсутствии помех функция когерентности равна единице.
С другой стороны, если процессы
и
совершенно не коррелированы, т.е.
для всех
, то функция когерентности
для всех
.
Если же функция когерентности принимает промежуточные между нулем и единицей значения, то практически может иметь место одна или несколько следующих возможностей:
1. в измерениях присутствует внешний шум;
2. оценки спектров мощности смещены из-за недостаточного разрешения по частоте;
3. система, преобразующая
в
, не линейна;
4. на выходной процесс
влияют и другие входные процессы кроме
.
Важное и полезное свойство функции когерентности заключается в том, что она сохраняется при линейных преобразованиях.
Предположим, что
– функция когерентности между
и
, которую необходимо определить. Пусть
– линейное преобразование
, а
– линейное преобразование
, тогда
.
Таким образом, для измерения
можно использовать наблюдения
вместо
и (или) наблюдения
вместо
, если по каким-либо причинам это проще или удобнее в конкретной задаче.






